1. 題目
描述
給定一棵二叉樹(保證非空)以及這棵樹上的兩個節點對應的val值 o1 和 o2,請找到 o1 和 o2 的最近公共祖先節點。
數據範圍:樹上節點數滿足 1≤n≤10^5^ , 節點值val滿足區間 [0,n)
要求:時間複雜度 O(n)
注:本題保證二叉樹中每個節點的val值均不相同。
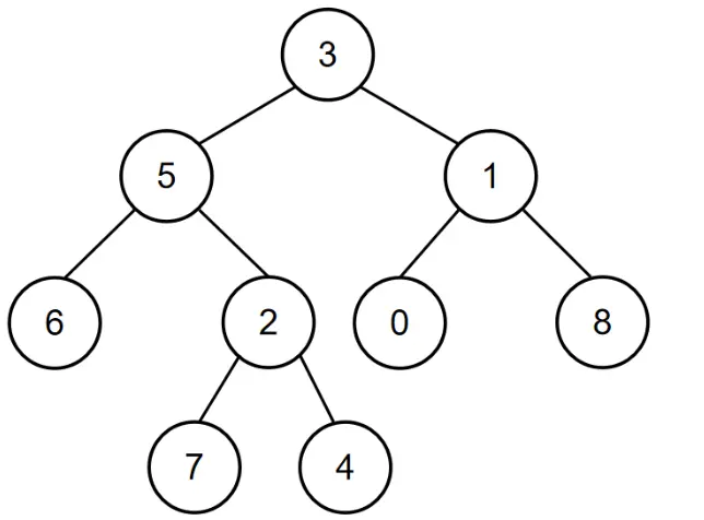
如當輸入{3,5,1,6,2,0,8,#,#,7,4},5,1時,二叉樹{3,5,1,6,2,0,8,#,#,7,4}如下圖所示:
所以節點值為5和節點值為1的節點的最近公共祖先節點的節點值為3,所以對應的輸出為3。
節點本身可以視為自己的祖先
示例1
輸入:
{3,5,1,6,2,0,8,#,#,7,4},5,1
返回值:
3
示例2
輸入:
{3,5,1,6,2,0,8,#,#,7,4},2,7
返回值:
2
2. 解題思路
本題求解的是普通二叉樹的公共祖先,即二叉樹的節點值沒有規律性(與二叉搜索樹不同),因此只能分不同情況進行處理:
情況1:節點的值等於給定的值(滿足給定的值p或q之一即可),該節點就是最近公共祖先
情況2:節點的值不等於給定的值,這時只能從左右子樹中查找:
- 從節點的左子樹中找;
- 從節點的右子樹中找;
-
返回對應的節點:
①如果左右子樹的結果都為null,返回null(説明左右子樹中都沒有公共祖先);
②左子樹或右子樹的結果有一個為null,返回不為null的結果(説明公共祖先存在於不為空的子樹中);
③左右子樹的結果都不為空,返回當前節點(説明當前節點為公共祖先)。
採用遞歸的方式查找公共祖先節點。
遞推公式如下:
如果文字描述的不太清楚,你可以參考視頻的詳細講解。
- Python版本:https://www.bilibili.com/cheese/play/ep1372246
- Java版本:https://www.bilibili.com/cheese/play/ep1367354
- Golang版本:https://www.bilibili.com/cheese/play/ep1364779
3. 編碼實現
核心代碼如下:
/**
* 代碼中的類名、方法名、參數名已經指定,請勿修改,直接返回方法規定的值即可
*
*
* @param root TreeNode類
* @param o1 int整型
* @param o2 int整型
* @return int整型
*/
func lowestCommonAncestor(root *TreeNode, o1 int, o2 int) int {
// write code here
return recursion(root, o1, o2).Val
}
func recursion(root *TreeNode, v1 int, v2 int) *TreeNode {
// 2. 遞歸終止條件:節點為空,直接返回
if root == nil {
return nil
}
// 1. 問題分解(遞推公式)
// 1.1 節點的值等於給定的值,該節點就是最近公共祖先
if root.Val == v1 || root.Val == v2 {
return root
}
// 1.2 節點的值不等於給定的值
// 1.2.1 到左子樹中找
left := recursion(root.Left, v1, v2)
// 1.2.2 到右子樹中找
right := recursion(root.Right, v1, v2)
// 1.2.3 返回節點
if left == nil && right == nil {
//左右子樹都沒有找到,返回nil
return nil
} else if left == nil && right != nil {
//左子樹都沒有找到,右子樹找到,返回右子樹
return right
} else if left != nil && right == nil {
//右子樹都沒有找到,左子樹找到,返回左子樹
return left
} else {
//左右子樹都找到,返回當前節點
return root
}
}
具體完整代碼你可以參考下面視頻的詳細講解。
- Python版本:https://www.bilibili.com/cheese/play/ep1372246
- Java版本:https://www.bilibili.com/cheese/play/ep1367354
- Golang版本:https://www.bilibili.com/cheese/play/ep1364779
4.小結
普通二叉樹公共祖先的查找需要從左右子樹中分別查找,再依據查找的結果進行判斷:如果左右子樹有一個子樹查找到,則返回對應的子樹;如果都查找到則返回當前的節點(當前節點就是公共祖先);如果都沒有查找到,則返回Null。
《數據結構與算法》深度精講課程正式上線啦!七大核心算法模塊全解析:
✅ 鏈表
✅ 二叉樹
✅ 二分查找、排序
✅ 堆、棧、隊列
✅ 回溯算法
✅ 哈希算法
✅ 動態規劃
無論你是備戰筆試面試、提升代碼效率,還是突破技術瓶頸,這套課程都將為你構建紮實的算法思維底座。🔥立即加入學習打卡,與千名開發者共同進階!
- Python編碼實現:https://www.bilibili.com/cheese/play/ss897667807
- Java編碼實現:https://www.bilibili.com/cheese/play/ss161443488
- Golang編碼實現:https://www.bilibili.com/cheese/play/ss63997
對於二叉樹的相關算法,我們總結了一套【可視化+圖解】方法,依據此方法來解決相關問題,算法變得易於理解,寫出來的代碼可讀性高也不容易出錯。具體也可以參考視頻詳細講解。
今日佳句:北方有佳人,絕世而獨立。一顧傾人城,再顧傾人國。