博客 / 詳情

返回

大模型常見量化方法簡介

一、引言

隨着大型語言模型(LLM)在具身智能等領域的廣泛應用,接下來就該思考如何在有限硬件資源下部署這些模型,量化是其中必不可少的步驟。

模型量化(Model Quantization)作為一種有效的模型壓縮技術,通過將模型中的浮點數參數轉換為低比特寬度的整數表示,顯著減少了模型的存儲和計算需求,同時儘量保持模型的性能。量化的基礎知識相信大家都不會陌生,例如必然要介紹兩種量化方式:PTQ/QAT。

QAT 是一種深度融合量化需求與模型訓練流程的技術,核心是在模型訓練階段主動嵌入 “偽量化算子”—— 不實際將參數轉換為低比特,而是模擬量化過程中的數值截斷誤差與舍入誤差,讓模型在學習任務知識的同時,同步適應量化帶來的精度損耗。訓練中,偽量化算子會實時統計各層輸入輸出的數據分佈(如激活值的極值、權重的方差),動態優化量化參數(如縮放因子、零點),確保量化邏輯與模型參數更新形成配合。這種 “邊訓練邊適配量化” 的特性,能讓大語言模型(LLM)在低精度表示(如 4bit、2bit)下,依然保留接近原始浮點模型的性能。

PTQ 是在 LLM 完全訓練完成後執行的量化方案,無需修改模型訓練流程,僅需使用少量校準數據(通常 100-1000 條代表性樣本)統計模型權重與激活值的分佈特徵,即可確定量化參數並完成低比特轉換。其核心優勢在於 “輕量高效”:無需重新訓練模型,量化過程僅需數分鐘至數小時,無需大規模計算資源;同時無需改動 LLM 架構,可直接適配各類推理框架,兼顧易用性與部署效率。不過,PTQ 的精度天花板相對較低,目前在 4bit 及以下量化時易出現明顯精度損失,更適合對精度要求不高、追求快速部署的場景。

本文重點不是上述兩種量化方式,而是將重點介紹四種主流的大模型量化方法:GPTQ、SmoothQuant、AWQ 和旋轉量化,下面來分別看一下。

二、GPTQ

GPTQ(Gradient-based Post-training Quantization)是一種後訓練量化方法,其核心思想是利用梯度信息來指導量化過程,從而最小化量化帶來的性能損失。論文中僅進行權重量化,權重被量化為 int4 類型,激活值為 float16。

GPTQ(GPT Quantization)是一種基於最優量化誤差最小化的單輪權重量化方法,其核心創新點在於:

  • 順序壓縮算法:按重要性對模型層進行排序,優先量化對輸出影響較小的層
  • 誤差補償機制:通過梯度下降優化量化參數,減少精度損失
  • 分組量化策略:將權重矩陣分為小組(Group Size)獨立量化,平衡壓縮率與精度

工作流程圖如下:

GPTQ 通過優化量化誤差的目標函數,使得量化後的模型輸出儘可能接近原始模型的輸出。其優化目標可以表示為:

其中,f(⋅) 為模型的前向傳播函數,W 為原始浮點權重,Wq 為量化後的權重。

GPTQ 已被廣泛應用於 HuggingFace 等平台,具有完善的工具鏈和生態支持。但 GPTQ 主要針對模型的權重進行量化,對激活值的處理相對有限,且在量化過程中需要計算梯度信息,會增加額外的計算開銷。

三、SmoothQuant

SmoothQuant 是一種訓練後量化方法,旨在解決激活值量化困難的問題。核心理念在於平衡激活值和權重的量化難度。在大模型量化中,激活值通常包含大量離羣點,這些離羣點會顯著拉伸量化範圍,增加量化誤差。SmoothQuant 提出了一種基於平滑因子的逐通道縮放變換方法,對每個通道的激活值進行縮放以平滑其分佈,同時對權重施加反向縮放,確保模型計算的等價性。

其中,s 為平滑因子,x 為激活值,W 為權重,x′ 和 W′ 分別為經過平滑處理後的激活值和權重。通過這種方式,SmoothQuant 將激活值的量化難度轉移到權重上,從而實現更高效的量化。

SmoothQuant 可以同時對權重和激活值進行 8 位量化,減少模型的存儲需求,通過將激活值的異常值減少,SmoothQuant 可以提高推理的效率,但平滑因子 s 的選擇對量化效果有較大影響,且不同的模型可能需要不同的平滑因子,需要通過實驗進行調優。

四、AWQ

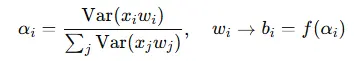
AWQ(Activation-aware Weight Quantization)是一種自適應權重量化方法,旨在根據激活值的重要性來指導權重的量化過程。其核心思想是識別出對模型輸出影響較大的激活值,並根據這些激活值的重要性來調整權重的量化精度。具體而言,AWQ 通過計算激活值的方差來評估其重要性,然後根據重要性為權重分配不同的量化精度:

其中,

$$ \alpha_i $$

為第 i 個權重的激活感知度,$$b\_i$$ 為其對應的量化比特數。

AWQ 方法源於"權重對於 LLM 的性能並不同等重要"的觀察,存在約(0.1%-1%)顯著權重對大模型性能影響太大,通過跳過這 1% 的重要權重不進行量化,可以大大減少量化誤差。根據激活值的重要性動態調整權重的量化精度,這需要計算激活值的方差,實現相對複雜。

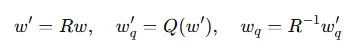
五、SpinQuant

旋轉量化(SpinQuant)是一種通過旋轉矩陣變換數據空間來實現量化的方法。其核心思想是通過引入旋轉矩陣 RRR 將數據映射到新的空間,然後在新的空間中進行量化,從而使得量化誤差在數據空間中更加均勻地分佈,減少量化誤差對模型性能的影響。具體而言,旋轉量化的過程可以表示為:

其中,w 為原始權重,w′ 為經過旋轉變換後的權重,$$w'\_q$$ 為量化後的權重,$$w\_q$$ 為最終的量化權重。

通過旋轉變換數據空間,可以使得量化誤差在數據空間中更加均勻地分佈,適應不同的模型結構和數據分佈,減少量化誤差。這個過程需要計算旋轉矩陣,並進行矩陣變換,會引入一些計算開銷。

user avatar
0 位用戶收藏了這個故事!

發佈 評論

Some HTML is okay.