动态

详情 返回 返回

高基數類別特徵預處理:平均數編碼 | 京東雲技術團隊 - 动态 详情

一 前言

對於一個類別特徵,如果這個特徵的取值非常多,則稱它為高基數(high-cardinality)類別特徵。在深度學習場景中,對於類別特徵我們一般採用Embedding的方式,通過預訓練或直接訓練的方式將類別特徵值編碼成向量。在經典機器學習場景中,對於有序類別特徵,我們可以使用LabelEncoder進行編碼處理,對於低基數無序類別特徵(在lightgbm中,默認取值個數小於等於4的類別特徵),可以採用OneHotEncoder的方式進行編碼,但是對於高基數無序類別特徵,若直接採用OneHotEncoder的方式編碼,在目前效果比較好的GBDT、Xgboost、lightgbm等樹模型中,會出現特徵稀疏性的問題,造成維度災難, 若先對類別取值進行聚類分組,然後再進行OneHot編碼,雖然可以降低特徵的維度,但是聚類分組過程需要藉助較強的業務經驗知識。本文介紹一種針對高基數無序類別特徵非常有效的預處理方法:平均數編碼(Mean Encoding)。在很多數據挖掘類競賽中,有許多人使用這種方法取得了非常優異的成績。

二 原理

平均數編碼,有些地方也稱之為目標編碼(Target Encoding),是一種基於目標變量統計(Target Statistics)的有監督編碼方式。該方法基於貝葉斯思想,用先驗概率和後驗概率的加權平均值作為類別特徵值的編碼值,適用於分類和迴歸場景。平均數編碼的公式如下所示:

其中:

1. prior為先驗概率,在分類場景中表示樣本屬於某一個\_y\_\_i_的概率

​其中\_n\_\_y\_\_i\_​​表示y =\_y\_\_i_​時的樣本數量,\_n\_\_y_​表示y的總數量;在迴歸場景下,先驗概率為目標變量均值:

2. posterior為後驗概率,在分類場景中表示類別特徵為k時樣本屬於某一個\_y\_\_i_​的概率

在迴歸場景下表示 類別特徵為k時對應目標變量的均值。

3. _λ_為權重函數,本文中的權重函數公式相較於原論文做了變換,是一個單調遞減函數,函數公式:

其中 輸入是特徵類別在訓練集中出現的次數n,權重函數有兩個參數:

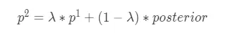
① k:最小閾值,當n = k時,_λ_= 0.5,先驗概率和後驗概率的權重相同;當n < k時,_λ_\> 0.5, 先驗概率所佔的權重更大。

② f:平滑因子,控制權重函數在拐點處的斜率,f越大,曲線坡度越緩。下面是k=1時,不同f對於權重函數的影響:

由圖可知,f越大,權重函數S型曲線越緩,正則效應越強。

對於分類問題,在計算後驗概率時,目標變量有C個類別,就有C個後驗概率,且滿足

一個 \_y\_\_i_​ 的概率值必然和其他 \_y\_\_i_​ 的概率值線性相關,因此為了避免多重共線性問題,採用平均數編碼後數據集將增加C-1列特徵。對於迴歸問題,採用平均數編碼後數據集將增加1列特徵。

三 實踐

平均數編碼不僅可以對單個類別特徵編碼,也可以對具有層次結構的類別特徵進行編碼。比如地區特徵,國家包含了省,省包含了市,市包含了街區,對於街區特徵,每個街區特徵對應的樣本數量很少,以至於每個街區特徵的編碼值接近於先驗概率。平均數編碼通過加入不同層次的先驗概率信息解決該問題。下面將以分類問題對這兩個場景進行展開:

1. 單個類別特徵編碼:

在具體實踐時可以藉助category_encoders包,代碼如下:

import pandas as pd
from category_encoders import TargetEncoder

df = pd.DataFrame({'cat': ['a', 'b', 'a', 'b', 'a', 'a', 'b', 'c', 'c', 'd'], 
                   'target': [1, 0, 0, 1, 0, 0, 1, 1, 0, 1]})
te = TargetEncoder(cols=["cat"], min_samples_leaf=2, smoothing=1)
df["cat_encode"] = te.transform(df)["cat"]
print(df)
# 結果如下:

    cat    target    cat_encode
0    a    1    0.279801
1    b    0    0.621843
2    a    0    0.279801
3    b    1    0.621843
4    a    0    0.279801
5    a    0    0.279801
6    b    1    0.621843
7    c    1    0.500000
8    c    0    0.500000
9    d    1    0.634471

2. 層次結構類別特徵編碼:

對以下數據集,方位類別特徵具有{'N': ('N', 'NE'), 'S': ('S', 'SE'), 'W': 'W'}層級關係,以compass中類別NE為例計算\_y\_\_i_​=1,k = 2 f = 2時編碼值,計算公式如下:

其中\_p\_1為HIER\_compass\_1中類別N的編碼值,計算可以參考單個類別特徵編碼: 0.74527,posterior=3/3=1,_λ_= 0.37754 ,則類別NE的編碼值:0.37754 0.74527 + (1 - 0.37754) 1 = 0.90383。

代碼如下:

from category_encoders  import TargetEncoder
from category_encoders.datasets import load_compass

X, y = load_compass()
# 層次參數hierarchy可以為字典或者dataframe
# 字典形式
hierarchical_map = {'compass': {'N': ('N', 'NE'), 'S': ('S', 'SE'), 'W': 'W'}}
te = TargetEncoder(verbose=2, hierarchy=hierarchical_map, cols=['compass'], smoothing=2, min_samples_leaf=2)
# dataframe形式,HIER_cols的層級順序由頂向下
HIER_cols = ['HIER_compass_1']
te = TargetEncoder(verbose=2, hierarchy=X[HIER_cols], cols=['compass'], smoothing=2, min_samples_leaf=2)
te.fit(X.loc[:,['compass']], y)
X["compass_encode"] = te.transform(X.loc[:,['compass']])
X["label"] = y
print(X)

# 結果如下,compass_encode列為結果列:
    index    compass    HIER_compass_1    compass_encode    label
0    1    N    N    0.622636    1
1    2    N    N    0.622636    0
2    3    NE    N    0.903830    1
3    4    NE    N    0.903830    1
4    5    NE    N    0.903830    1
5    6    SE    S    0.176600    0
6    7    SE    S    0.176600    0
7    8    S    S    0.460520    1
8    9    S    S    0.460520    0
9    10    S    S    0.460520    1
10    11    S    S    0.460520    0
11    12    W    W    0.403328    1
12    13    W    W    0.403328    0
13    14    W    W    0.403328    0
14    15    W    W    0.403328    0
15    16    W    W    0.403328    1

注意事項:

採用平均數編碼,容易引起過擬合,可以採用以下方法防止過擬合:

  • 增大正則項f
  • k折交叉驗證

以下為自行實現的基於k折交叉驗證版本的平均數編碼,可以應用於二分類、多分類、迴歸場景中對單一類別特徵或具有層次結構類別特徵進行編碼,該版本中用prior對unknown類別和缺失值編碼。

from itertools import product
from category_encoders  import TargetEncoder
from sklearn.model_selection import StratifiedKFold, KFold

class MeanEncoder:
    def __init__(self, categorical_features, n_splits=5, target_type='classification', 
                 min_samples_leaf=2, smoothing=1, hierarchy=None, verbose=0, shuffle=False, 
                 random_state=None):
        """
        Parameters
        ----------
        categorical_features: list of str
            the name of the categorical columns to encode.
        n_splits: int
            the number of splits used in mean encoding.
        target_type: str,
            'regression' or 'classification'.
        min_samples_leaf: int
            For regularization the weighted average between category mean and global mean is taken. The weight is
            an S-shaped curve between 0 and 1 with the number of samples for a category on the x-axis.
            The curve reaches 0.5 at min_samples_leaf. (parameter k in the original paper)
        smoothing: float
            smoothing effect to balance categorical average vs prior. Higher value means stronger regularization.
            The value must be strictly bigger than 0. Higher values mean a flatter S-curve (see min_samples_leaf).
        hierarchy: dict or dataframe
            A dictionary or a dataframe to define the hierarchy for mapping.
            If a dictionary, this contains a dict of columns to map into hierarchies.  Dictionary key(s) should be the column name from X
            which requires mapping.  For multiple hierarchical maps, this should be a dictionary of dictionaries.

            If dataframe: a dataframe defining columns to be used for the hierarchies.  Column names must take the form:
            HIER_colA_1, ... HIER_colA_N, HIER_colB_1, ... HIER_colB_M, ...
            where [colA, colB, ...] are given columns in cols list.  
            1:N and 1:M define the hierarchy for each column where 1 is the highest hierarchy (top of the tree).  A single column or multiple 
            can be used, as relevant.
        verbose: int
            integer indicating verbosity of the output. 0 for none.
        shuffle : bool, default=False
        random_state : int or RandomState instance, default=None
            When `shuffle` is True, `random_state` affects the ordering of the
            indices, which controls the randomness of each fold for each class.
            Otherwise, leave `random_state` as `None`.
            Pass an int for reproducible output across multiple function calls.
        """

        self.categorical_features = categorical_features
        self.n_splits = n_splits
        self.learned_stats = {}
        self.min_samples_leaf = min_samples_leaf
        self.smoothing = smoothing
        self.hierarchy = hierarchy
        self.verbose = verbose
        self.shuffle = shuffle
        self.random_state = random_state

        if target_type == 'classification':
            self.target_type = target_type
            self.target_values = []
        else:
            self.target_type = 'regression'
            self.target_values = None
            

    def mean_encode_subroutine(self, X_train, y_train, X_test, variable, target):
        X_train = X_train[[variable]].copy()
        X_test = X_test[[variable]].copy()

        if target is not None:
            nf_name = '{}_pred_{}'.format(variable, target)
            X_train['pred_temp'] = (y_train == target).astype(int)  # classification
        else:
            nf_name = '{}_pred'.format(variable)
            X_train['pred_temp'] = y_train  # regression
        prior = X_train['pred_temp'].mean()
        te = TargetEncoder(verbose=self.verbose, hierarchy=self.hierarchy, 
                           cols=[variable], smoothing=self.smoothing, 
                           min_samples_leaf=self.min_samples_leaf)
        te.fit(X_train[[variable]], X_train['pred_temp'])
        tmp_l = te.ordinal_encoder.mapping[0]["mapping"].reset_index()
        tmp_l.rename(columns={"index":variable, 0:"encode"}, inplace=True)
        tmp_l.dropna(inplace=True)
        tmp_r = te.mapping[variable].reset_index()
        if self.hierarchy is None:
            tmp_r.rename(columns={variable: "encode", 0:nf_name}, inplace=True)
        else:
            tmp_r.rename(columns={"index": "encode", 0:nf_name}, inplace=True)
        col_avg_y = pd.merge(tmp_l, tmp_r, how="left",on=["encode"])
        col_avg_y.drop(columns=["encode"], inplace=True)
        col_avg_y.set_index(variable, inplace=True)
        nf_train = X_train.join(col_avg_y, on=variable)[nf_name].values
        nf_test = X_test.join(col_avg_y, on=variable).fillna(prior, inplace=False)[nf_name].values

        return nf_train, nf_test, prior, col_avg_y

    def fit(self, X, y):
        """
        :param X: pandas DataFrame, n_samples * n_features
        :param y: pandas Series or numpy array, n_samples
        :return X_new: the transformed pandas DataFrame containing mean-encoded categorical features
        """
        X_new = X.copy()
        if self.target_type == 'classification':
            skf = StratifiedKFold(self.n_splits, shuffle=self.shuffle, random_state=self.random_state)
        else:
            skf = KFold(self.n_splits, shuffle=self.shuffle, random_state=self.random_state)

        if self.target_type == 'classification':
            self.target_values = sorted(set(y))
            self.learned_stats = {'{}_pred_{}'.format(variable, target): [] for variable, target in
                                  product(self.categorical_features, self.target_values)}
            for variable, target in product(self.categorical_features, self.target_values):
                nf_name = '{}_pred_{}'.format(variable, target)
                X_new.loc[:, nf_name] = np.nan
                for large_ind, small_ind in skf.split(y, y):
                    nf_large, nf_small, prior, col_avg_y = self.mean_encode_subroutine(
                        X_new.iloc[large_ind], y.iloc[large_ind], X_new.iloc[small_ind], variable, target)
                    X_new.iloc[small_ind, -1] = nf_small
                    self.learned_stats[nf_name].append((prior, col_avg_y))
        else:
            self.learned_stats = {'{}_pred'.format(variable): [] for variable in self.categorical_features}
            for variable in self.categorical_features:
                nf_name = '{}_pred'.format(variable)
                X_new.loc[:, nf_name] = np.nan
                for large_ind, small_ind in skf.split(y, y):
                    nf_large, nf_small, prior, col_avg_y = self.mean_encode_subroutine(
                        X_new.iloc[large_ind], y.iloc[large_ind], X_new.iloc[small_ind], variable, None)
                    X_new.iloc[small_ind, -1] = nf_small
                    self.learned_stats[nf_name].append((prior, col_avg_y))
        return X_new

    def transform(self, X):
        """
        :param X: pandas DataFrame, n_samples * n_features
        :return X_new: the transformed pandas DataFrame containing mean-encoded categorical features
        """
        X_new = X.copy()

        if self.target_type == 'classification':
            for variable, target in product(self.categorical_features, self.target_values):
                nf_name = '{}_pred_{}'.format(variable, target)
                X_new[nf_name] = 0
                for prior, col_avg_y in self.learned_stats[nf_name]:
                    X_new[nf_name] += X_new[[variable]].join(col_avg_y, on=variable).fillna(prior, inplace=False)[
                        nf_name]
                X_new[nf_name] /= self.n_splits
        else:
            for variable in self.categorical_features:
                nf_name = '{}_pred'.format(variable)
                X_new[nf_name] = 0
                for prior, col_avg_y in self.learned_stats[nf_name]:
                    X_new[nf_name] += X_new[[variable]].join(col_avg_y, on=variable).fillna(prior, inplace=False)[
                        nf_name]
                X_new[nf_name] /= self.n_splits

        return X_new

四 總結

本文介紹了一種對高基數類別特徵非常有效的編碼方式:平均數編碼。詳細的講述了該種編碼方式的原理,在實際工程應用中有效避免過擬合的方法,並且提供了一個直接上手的代碼版本。

作者:京東保險 趙風龍

來源:京東雲開發者社區 轉載請註明來源

user avatar u_17021563 头像 mianlengxincidehongjiu 头像 tecdat 头像 momeak9 头像 gvison 头像 liujiaxiaobao 头像 dalidexiaoxiami 头像 shanliangdeyanjing 头像 shuirongshui 头像 shenfq 头像 jiangpengfei_5ecce944a3d8a 头像 portal_qiniu_com 头像
点赞 15 用户, 点赞了这篇动态!
点赞

Add a new 评论

Some HTML is okay.