一、梯度下降(Gradient Descent)

1. 基本概念

梯度下降(Gradient Descent) 是一種用於 最小化代價函數 J(w,b)J(w,b)J(w,b)的優化算法。

它的思想相當直觀:

環顧四周,選擇讓代價函數下降最快的方向,然後沿着該方向走一步。然後在新的位置重複這個過程,直到到達最低點。這種“下山”的過程,就是梯度下降。

2. 核心思想(Intuition)

假設你站在一座山上,天氣太黑看不清地形。你只能摸索坡度最陡的方向(即梯度方向的反方向)一步步往下走。

  • 每次往下走一步,就更新當前點的位置。
  • 最終到達的山谷底部,就是代價函數的最小值

這個最小點被稱為:

局部最小值(Local Minimum)
凸函數(如線性迴歸中的碗狀函數),那麼局部最小值同時也是就是如果代價函數全局最小值(Global Minimum)

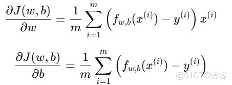
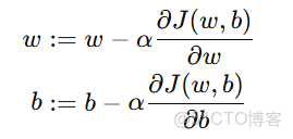
3. 參數更新公式(Update Rule)

梯度下降通過不斷調整參數 w 和 b,讓代價函數 J(w,b) 逐步減小。

公式如下:

4.機器學習——梯度下降_51CTO博客_最小值

其中:

符號

含義

α

學習率(Learning Rate)

4.機器學習——梯度下降_51CTO博客_梯度下降_02

對權重 w 的偏導數(梯度)

4.機器學習——梯度下降_51CTO博客_代價函數_03

對偏置 b 的偏導數

“:=”

表示賦值更新

補充: 同步更新的重要性

更新時,w 和 b 必須同時更新(Simultaneous Update)

  • 不應先更新 w 再用新的 w 去計算 b;
  • 否則會導致不一致的結果,收斂路徑混亂。

4. 梯度方向與代價變化

  • 梯度(Gradient)表示函數上升最快的方向。
  • 因此,大家沿着梯度的反方向更新參數,才能讓代價下降。

數學上:

4.機器學習——梯度下降_51CTO博客_梯度下降_04

  • 當梯度為正:説明函數在該點處上升 → 我們應減小 w
  • 當梯度為負:説明函數在該點處下降 → 我們應增大 w

通過不斷調整,J(w,b) 的值會持續減小,直到達到最小點。

5. 學習率 α\alphaα 的選擇

學習率(Learning Rate)控制了每一步的前進速度

學習率大小

效果

圖示描述

太小

下降速度慢,訓練時間長

緩慢接近最低點

太大

可能跨過最低點,甚至震盪發散

跳過碗底

合適

穩定快速收斂

順滑下降到最小值

當代價函數到達最小點時:
梯度 =0,此時更新量為 0,w,b 不再變化。

示意圖:

學習率太小 → 慢慢下降到谷底

學習率太大 → 直接跳過谷底、來回震盪


二、線性迴歸的梯度下降(Gradient Descent for Linear Regression)

1. 代價函數回顧

線性迴歸的代價函數定義為:

4.機器學習——梯度下降_51CTO博客_最小值_05

其中:

4.機器學習——梯度下降_51CTO博客_最小值_06

2.梯度公式推導

我們要求出代價函數對 w 和 b 的偏導數:

4.機器學習——梯度下降_51CTO博客_代價函數_07

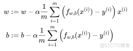
3.參數更新公式(線性迴歸專用)

將梯度代入更新規則:

4.機器學習——梯度下降_51CTO博客_最小值_08

4.特點分析

  • 代價函數是凸函數(Convex Function)
  • 形狀像一個“碗”;
  • 沒有多個局部最小值;
  • 因此梯度下降一定能收斂到全局最優解
  • 每次更新都讓 J(w,b) 更小
  • 利用迭代逐步逼近最優參數。

5. 舉例説明(Intuitive Example)

假設我們在訓練一個簡單的線性模型來預測房價:

x(房屋面積)

y(房價)

50

150

100

300

150

450

初始參數: w=0,b=0

每次迭代:

  1. 根據當前 w,b 計算預測值;
  2. 計算誤差(預測 - 實際);
  3. 計算代價函數 J(w,b);
  4. 根據梯度更新 w,b。

經過若干次更新後,模型會逐步收斂到最佳擬合直線。

6.小結(Summary)

項目

內容

目標

最小化代價函數 J(w,b)J(w,b)J(w,b)

更新規則

w:=w−α∂J∂ww := w - \alpha \frac{\partial J}{\partial w}w:=w−α∂w∂J,b:=b−α∂J∂bb := b - \alpha \frac{\partial J}{\partial b}b:=b−α∂b∂J

學習率

控制更新步長

同步更新

w,bw,bw,b 同時更新

可視化

曲面下降、等高線收斂

線性迴歸的特性

代價函數為凸函數,僅有一個全局最小值