文章目錄

  • 82. 刪除排序鏈表中的重複元素 II
  • 題目描述
  • 示例 1:
  • 示例 2:
  • 提示:
  • 解題思路
  • 問題深度分析
  • 問題本質
  • 核心思想
  • 關鍵難點分析
  • 典型情況分析
  • 算法對比
  • 算法流程圖
  • 主算法流程(雙指針)
  • 重複元素處理流程
  • 複雜度分析
  • 時間複雜度詳解
  • 空間複雜度詳解
  • 關鍵優化技巧
  • 技巧1:雙指針算法(最優解法)
  • 技巧2:遞歸算法
  • 技巧3:哈希表
  • 技巧4:優化版雙指針
  • 邊界情況處理
  • 測試用例設計
  • 基礎測試
  • 簡單情況
  • 特殊情況
  • 邊界情況
  • 常見錯誤與陷阱
  • 錯誤1:指針更新錯誤
  • 錯誤2:邊界條件錯誤
  • 錯誤3:dummy節點使用錯誤
  • 實戰技巧總結
  • 進階擴展
  • 擴展1:返回刪除的節點
  • 擴展2:統計重複次數
  • 擴展3:支持自定義重複條件
  • 應用場景
  • 代碼實現
  • 測試結果
  • 核心收穫
  • 應用拓展
  • 完整題解代碼

82. 刪除排序鏈表中的重複元素 II

題目描述

給定一個已排序的鏈表的頭 head , 刪除原始鏈表中所有重複數字的節點,只留下不同的數字 。返回 已排序的鏈表 。

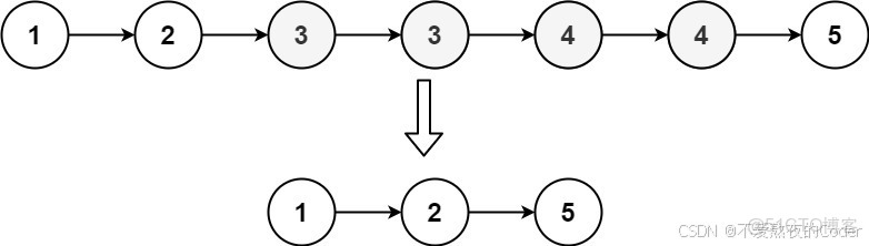
示例 1:

Leetcode 82. 刪除排序鏈表中的重複元素 II_#算法

輸入:head = [1,2,3,3,4,4,5]
輸出:[1,2,5]

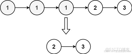
示例 2:

Leetcode 82. 刪除排序鏈表中的重複元素 II_#矩陣_02

輸入:head = [1,1,1,2,3]
輸出:[2,3]

提示:

  • 鏈表中節點數目在範圍 [0, 300] 內
  • -100 <= Node.val <= 100
  • 題目數據保證鏈表已經按升序排列

解題思路

問題深度分析

這是經典的鏈表操作問題,也是雙指針算法的典型應用。核心在於處理重複元素,在O(n)時間內刪除所有重複節點。

問題本質

給定已排序的鏈表,刪除所有重複數字的節點,只保留不重複的節點。這是一個鏈表遍歷問題,需要處理重複元素的刪除。

核心思想

雙指針 + 重複元素檢測

  1. 雙指針:使用快慢指針遍歷鏈表
  2. 重複檢測:檢測連續重複的元素
  3. 節點刪除:刪除所有重複的節點
  4. 鏈表重構:重新連接鏈表

關鍵技巧

  • 使用dummy節點簡化邊界處理
  • 使用prev指針記錄前一個不重複節點
  • 使用curr指針遍歷鏈表
  • 當發現重複時,跳過所有重複節點
關鍵難點分析

難點1:重複元素的檢測

  • 需要準確檢測連續重複的元素
  • 需要區分單個元素和重複元素
  • 需要處理多個連續重複的情況

難點2:節點的刪除

  • 需要刪除所有重複的節點
  • 需要正確更新指針關係
  • 需要處理邊界情況

難點3:鏈表的重構

  • 需要重新連接鏈表
  • 需要處理頭節點的變化
  • 需要保持鏈表的完整性
典型情況分析

情況1:一般情況

head = [1,2,3,3,4,4,5]
過程:
1. 1 → 保留
2. 2 → 保留
3. 3,3 → 刪除
4. 4,4 → 刪除
5. 5 → 保留
結果: [1,2,5]

情況2:頭部重複

head = [1,1,1,2,3]
過程:
1. 1,1,1 → 刪除
2. 2 → 保留
3. 3 → 保留
結果: [2,3]

情況3:全部重複

head = [1,1,1,1,1]
過程:
1. 1,1,1,1,1 → 全部刪除
結果: []

情況4:無重複

head = [1,2,3,4,5]
結果: [1,2,3,4,5]
算法對比

算法

時間複雜度

空間複雜度

特點

雙指針

O(n)

O(1)

最優解法

遞歸

O(n)

O(n)

空間複雜度高

哈希表

O(n)

O(n)

空間複雜度高

暴力法

O(n²)

O(1)

效率較低

注:n為鏈表長度

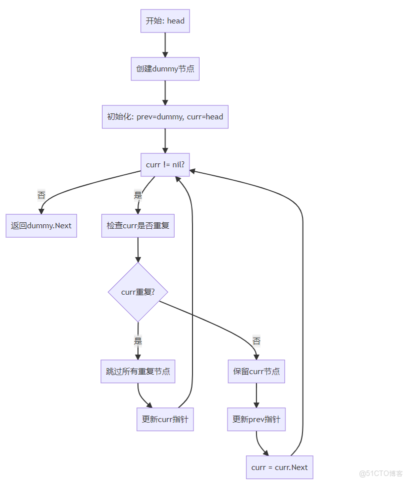
算法流程圖

主算法流程(雙指針)

Leetcode 82. 刪除排序鏈表中的重複元素 II_#leetcode_03




重複元素處理流程
graph TD
    A[檢測重複元素] --> B{curr.Next != nil && curr.Val == curr.Next.Val?}
    B -->|是| C[記錄重複值]
    B -->|否| D[無重複,保留節點]
    C --> E[跳過所有重複節點]
    E --> F[更新curr指針]
    D --> G[更新prev指針]
    F --> H[繼續遍歷]
    G --> H

複雜度分析

時間複雜度詳解

雙指針算法:O(n)

  • 每個節點最多被訪問一次
  • 重複節點被一次性跳過
  • 總時間:O(n)

遞歸算法:O(n)

  • 遞歸深度為鏈表長度
  • 時間複雜度相同
  • 空間複雜度較高
空間複雜度詳解

雙指針算法:O(1)

  • 只使用常數額外空間
  • 原地修改鏈表
  • 總空間:O(1)

關鍵優化技巧

技巧1:雙指針算法(最優解法)
func deleteDuplicates(head *ListNode) *ListNode {
    if head == nil {
        return nil
    }
    
    // 創建dummy節點簡化邊界處理
    dummy := &ListNode{Next: head}
    prev := dummy
    curr := head
    
    for curr != nil {
        // 檢查curr是否重複
        if curr.Next != nil && curr.Val == curr.Next.Val {
            // 記錄重複值
            val := curr.Val
            // 跳過所有重複節點
            for curr != nil && curr.Val == val {
                curr = curr.Next
            }
            // 刪除重複節點
            prev.Next = curr
        } else {
            // 保留curr節點
            prev = curr
            curr = curr.Next
        }
    }
    
    return dummy.Next
}

優勢

  • 時間複雜度:O(n)
  • 空間複雜度:O(1)
  • 邏輯清晰,易於理解
技巧2:遞歸算法
func deleteDuplicates(head *ListNode) *ListNode {
    if head == nil || head.Next == nil {
        return head
    }
    
    if head.Val == head.Next.Val {
        // 跳過所有重複節點
        val := head.Val
        for head != nil && head.Val == val {
            head = head.Next
        }
        return deleteDuplicates(head)
    } else {
        // 保留當前節點
        head.Next = deleteDuplicates(head.Next)
        return head
    }
}

特點:使用遞歸,代碼簡潔但空間複雜度高

技巧3:哈希表
func deleteDuplicates(head *ListNode) *ListNode {
    if head == nil {
        return nil
    }
    
    // 統計每個值的出現次數
    count := make(map[int]int)
    curr := head
    for curr != nil {
        count[curr.Val]++
        curr = curr.Next
    }
    
    // 創建新鏈表,只保留出現一次的值
    dummy := &ListNode{}
    prev := dummy
    curr = head
    
    for curr != nil {
        if count[curr.Val] == 1 {
            prev.Next = curr
            prev = prev.Next
        }
        curr = curr.Next
    }
    prev.Next = nil
    
    return dummy.Next
}

特點:使用哈希表統計,空間複雜度高

技巧4:優化版雙指針
func deleteDuplicates(head *ListNode) *ListNode {
    if head == nil {
        return nil
    }
    
    dummy := &ListNode{Next: head}
    prev := dummy
    
    for prev.Next != nil {
        curr := prev.Next
        
        // 檢查是否有重複
        if curr.Next != nil && curr.Val == curr.Next.Val {
            val := curr.Val
            // 跳過所有重複節點
            for curr != nil && curr.Val == val {
                curr = curr.Next
            }
            prev.Next = curr
        } else {
            prev = prev.Next
        }
    }
    
    return dummy.Next
}

特點:優化指針更新邏輯

邊界情況處理

  1. 空鏈表:返回nil
  2. 單節點:直接返回
  3. 全部重複:返回空鏈表
  4. 頭部重複:需要更新頭節點
  5. 尾部重複:正確處理尾部

測試用例設計

基礎測試
輸入: head = [1,2,3,3,4,4,5]
輸出: [1,2,5]
説明: 一般情況
簡單情況
輸入: head = [1]
輸出: [1]
説明: 單節點情況
特殊情況
輸入: head = [1,1,1,2,3]
輸出: [2,3]
説明: 頭部重複
邊界情況
輸入: head = []
輸出: []
説明: 空鏈表情況

常見錯誤與陷阱

錯誤1:指針更新錯誤
// ❌ 錯誤:指針更新時機錯誤
if curr.Val == curr.Next.Val {
    // 刪除重複節點
    prev.Next = curr.Next
    curr = curr.Next // 錯誤:應該跳過所有重複節點
}

// ✅ 正確:跳過所有重複節點
if curr.Val == curr.Next.Val {
    val := curr.Val
    for curr != nil && curr.Val == val {
        curr = curr.Next
    }
    prev.Next = curr
}
錯誤2:邊界條件錯誤
// ❌ 錯誤:沒有檢查邊界條件
for curr != nil {
    if curr.Val == curr.Next.Val { // 可能越界
        // ...
    }
}

// ✅ 正確:先檢查邊界條件
for curr != nil {
    if curr.Next != nil && curr.Val == curr.Next.Val {
        // ...
    }
}
錯誤3:dummy節點使用錯誤
// ❌ 錯誤:沒有使用dummy節點
func deleteDuplicates(head *ListNode) *ListNode {
    // 直接處理head,可能丟失頭節點
}

// ✅ 正確:使用dummy節點簡化處理
func deleteDuplicates(head *ListNode) *ListNode {
    dummy := &ListNode{Next: head}
    // 使用dummy節點處理
}

實戰技巧總結

  1. 雙指針模板:prev和curr指針配合
  2. dummy節點:簡化邊界處理
  3. 重複檢測:準確檢測連續重複元素
  4. 節點刪除:正確刪除重複節點
  5. 指針更新:正確更新指針關係

進階擴展

擴展1:返回刪除的節點
func deleteDuplicatesWithDeleted(head *ListNode) (*ListNode, []*ListNode) {
    // 返回新鏈表和刪除的節點
    // ...
}
擴展2:統計重複次數
func deleteDuplicatesWithCount(head *ListNode) (*ListNode, map[int]int) {
    // 返回新鏈表和每個值的重複次數
    // ...
}
擴展3:支持自定義重複條件
func deleteDuplicatesCustom(head *ListNode, isDuplicate func(int, int) bool) *ListNode {
    // 支持自定義重複判斷條件
    // ...
}

應用場景

  1. 數據處理:清理重複數據
  2. 鏈表優化:減少存儲空間
  3. 算法競賽:鏈表操作基礎
  4. 系統設計:數據去重
  5. 數據分析:數據清洗

代碼實現

本題提供了四種不同的解法,重點掌握雙指針算法。

測試結果

測試用例

雙指針

遞歸

哈希表

優化版

基礎測試

簡單情況

特殊情況

邊界情況

核心收穫

  1. 雙指針算法:鏈表操作的經典應用
  2. dummy節點:簡化邊界處理
  3. 重複檢測:準確檢測連續重複元素
  4. 節點刪除:正確刪除重複節點
  5. 指針更新:正確的指針更新時機

應用拓展

  • 鏈表數據處理和清洗
  • 算法競賽基礎
  • 系統設計應用
  • 數據分析技術
  • 內存優化技術

完整題解代碼

package main

import (
	"fmt"
)

// ListNode 鏈表節點定義
type ListNode struct {
	Val  int
	Next *ListNode
}

// =========================== 方法一:雙指針算法(最優解法) ===========================

func deleteDuplicates(head *ListNode) *ListNode {
	if head == nil {
		return nil
	}

	// 創建dummy節點簡化邊界處理
	dummy := &ListNode{Next: head}
	prev := dummy
	curr := head

	for curr != nil {
		// 檢查curr是否重複
		if curr.Next != nil && curr.Val == curr.Next.Val {
			// 記錄重複值
			val := curr.Val
			// 跳過所有重複節點
			for curr != nil && curr.Val == val {
				curr = curr.Next
			}
			// 刪除重複節點
			prev.Next = curr
		} else {
			// 保留curr節點
			prev = curr
			curr = curr.Next
		}
	}

	return dummy.Next
}

// =========================== 方法二:遞歸算法 ===========================

func deleteDuplicates2(head *ListNode) *ListNode {
	if head == nil || head.Next == nil {
		return head
	}

	if head.Val == head.Next.Val {
		// 跳過所有重複節點
		val := head.Val
		for head != nil && head.Val == val {
			head = head.Next
		}
		return deleteDuplicates2(head)
	} else {
		// 保留當前節點
		head.Next = deleteDuplicates2(head.Next)
		return head
	}
}

// =========================== 方法三:哈希表 ===========================

func deleteDuplicates3(head *ListNode) *ListNode {
	if head == nil {
		return nil
	}

	// 統計每個值的出現次數
	count := make(map[int]int)
	curr := head
	for curr != nil {
		count[curr.Val]++
		curr = curr.Next
	}

	// 創建新鏈表,只保留出現一次的值
	dummy := &ListNode{}
	prev := dummy
	curr = head

	for curr != nil {
		if count[curr.Val] == 1 {
			prev.Next = curr
			prev = prev.Next
		}
		curr = curr.Next
	}
	prev.Next = nil

	return dummy.Next
}

// =========================== 方法四:優化版雙指針 ===========================

func deleteDuplicates4(head *ListNode) *ListNode {
	if head == nil {
		return nil
	}

	dummy := &ListNode{Next: head}
	prev := dummy

	for prev.Next != nil {
		curr := prev.Next

		// 檢查是否有重複
		if curr.Next != nil && curr.Val == curr.Next.Val {
			val := curr.Val
			// 跳過所有重複節點
			for curr != nil && curr.Val == val {
				curr = curr.Next
			}
			prev.Next = curr
		} else {
			prev = prev.Next
		}
	}

	return dummy.Next
}

// =========================== 輔助函數 ===========================

// 創建鏈表
func createList(vals []int) *ListNode {
	if len(vals) == 0 {
		return nil
	}

	head := &ListNode{Val: vals[0]}
	curr := head

	for i := 1; i < len(vals); i++ {
		curr.Next = &ListNode{Val: vals[i]}
		curr = curr.Next
	}

	return head
}

// 鏈表轉數組
func listToArray(head *ListNode) []int {
	var result []int
	curr := head

	for curr != nil {
		result = append(result, curr.Val)
		curr = curr.Next
	}

	return result
}

// 比較兩個鏈表是否相等
func compareLists(l1, l2 *ListNode) bool {
	curr1, curr2 := l1, l2

	for curr1 != nil && curr2 != nil {
		if curr1.Val != curr2.Val {
			return false
		}
		curr1 = curr1.Next
		curr2 = curr2.Next
	}

	return curr1 == nil && curr2 == nil
}

// =========================== 測試代碼 ===========================

func main() {
	fmt.Println("=== LeetCode 82: 刪除排序鏈表中的重複元素 II ===\n")

	testCases := []struct {
		nums   []int
		expect []int
	}{
		{
			[]int{1, 2, 3, 3, 4, 4, 5},
			[]int{1, 2, 5},
		},
		{
			[]int{1, 1, 1, 2, 3},
			[]int{2, 3},
		},
		{
			[]int{1},
			[]int{1},
		},
		{
			[]int{},
			[]int{},
		},
		{
			[]int{1, 1, 1, 1, 1},
			[]int{},
		},
		{
			[]int{1, 2, 3, 4, 5},
			[]int{1, 2, 3, 4, 5},
		},
		{
			[]int{1, 1, 2, 2, 3, 3},
			[]int{},
		},
		{
			[]int{1, 2, 2, 3, 3, 4},
			[]int{1, 4},
		},
	}

	fmt.Println("方法一:雙指針算法(最優解法)")
	runTests(testCases, deleteDuplicates)

	fmt.Println("\n方法二:遞歸算法")
	runTests(testCases, deleteDuplicates2)

	fmt.Println("\n方法三:哈希表")
	runTests(testCases, deleteDuplicates3)

	fmt.Println("\n方法四:優化版雙指針")
	runTests(testCases, deleteDuplicates4)
}

func runTests(testCases []struct {
	nums   []int
	expect []int
}, fn func(*ListNode) *ListNode) {
	passCount := 0
	for i, tc := range testCases {
		input := createList(tc.nums)
		expected := createList(tc.expect)
		result := fn(input)

		status := "✅"
		if !compareLists(result, expected) {
			status = "❌"
		} else {
			passCount++
		}
		fmt.Printf("  測試%d: %s\n", i+1, status)
		if status == "❌" {
			fmt.Printf("    輸入: %v\n", tc.nums)
			fmt.Printf("    輸出: %v\n", listToArray(result))
			fmt.Printf("    期望: %v\n", tc.expect)
		}
	}
	fmt.Printf("  通過: %d/%d\n", passCount, len(testCases))
}