一、動量優化器(Momentum)

1、核心思想

模擬物理中的 “動量” 概念,通過積累歷史梯度的 “慣性” 來加速收斂,減少震盪。

解決 SGD(隨機梯度下降)在溝壑區域(梯度方向頻繁變化)收斂慢、震盪大的問題。

2、公式

(1)動量變量(積累歷史梯度)

優化器(Optimizer)(SGD、Momentum、AdaGrad、RMSProp、Adam)_sgd優化器_稀疏數據

(2)參數更新

優化器(Optimizer)(SGD、Momentum、AdaGrad、RMSProp、Adam)_sgd優化器_一階矩_02

其中,γ為動量因子(通常取 0.9,控制歷史梯度的權3、重);η為學習率;∇J(θ)為當前參數的梯度

3、優點

(1)加速收斂:在梯度方向一致的區域(如平緩坡),積累動量加速更新

(2)減少震盪:在梯度方向頻繁變化的區域(如溝壑),通過歷史動量平滑更新方向

4、缺點

(1)動量因子γ和學習率η需要手動調參

(2)可能在局部最優附近因慣性 “衝過” 最優解

5、適用場景

適用於損失函數曲面較複雜(存在溝壑、震盪)的場景,如計算機視覺任務(圖像分類、目標檢測)

二、AdaGrad 優化器

1、核心思想

自適應學習率:對不同參數根據其歷史梯度平方和調整學習率 —— 梯度大的參數(頻繁更新)學習率衰減快,梯度小的參數(稀疏更新)學習率衰減慢。

適合處理稀疏數據(如自然語言處理中的 one-hot 向量)。

2、公式

(1)歷史梯度平方和積累

優化器(Optimizer)(SGD、Momentum、AdaGrad、RMSProp、Adam)_sgd優化器_稀疏數據_03

(2)參數更新

優化器(Optimizer)(SGD、Momentum、AdaGrad、RMSProp、Adam)_sgd優化器_自適應_04

其中,ϵ 為極小值(如 10−8),避免分母為 0;η 為初始學習率(通常取 0.01)。

3、優點

(1)自適應學習率,無需手動調整

(2)對稀疏特徵更友好(學習率衰減慢,保留更新能力)

4、缺點

(1)學習率單調遞減,訓練後期可能因學習率過小導致收斂停滯

(2)對非稀疏數據效果一般

5、適用場景

稀疏數據任務:如文本分類、推薦系統(用户 - 物品交互稀疏)

三、RMSprop 優化器

1、核心思想

改進 AdaGrad 的 “學習率單調遞減” 問題,通過指數移動平均(EMA)計算曆史梯度平方和,僅保留近期梯度的影響,避免學習率過早衰減。

2、公式

(1)歷史梯度平方的指數移動平均

優化器(Optimizer)(SGD、Momentum、AdaGrad、RMSProp、Adam)_sgd優化器_稀疏數據_05

(2)參數更新

優化器(Optimizer)(SGD、Momentum、AdaGrad、RMSProp、Adam)_sgd優化器_自適應_06

其中,β 為衰減係數(通常取 0.9),控制歷史梯度的遺忘速度。

3、優點

(1)解決 AdaGrad 學習率過早衰減的問題,訓練後期仍能有效更新

(2)自適應學習率,對非稀疏數據更友好

4、缺點

(1)仍需手動設置初始學習率 η

(2)缺乏動量機制,可能在震盪區域收斂較慢

5、適用場景

非稀疏數據任務:如語音識別、圖像生成(像素級密集數據)

三、Adam 優化器

1、核心思想

結合動量優化器(一階矩估計,處理梯度方向)和RMSprop(二階矩估計,處理學習率自適應)的優點,同時計算梯度的一階矩(均值)和二階矩(未中心化方差),動態調整更新方向和步長。

2、公式

(1)一階矩(動量,梯度均值)

優化器(Optimizer)(SGD、Momentum、AdaGrad、RMSProp、Adam)_sgd優化器_一階矩_07

(2)二階矩(梯度平方的指數移動平均)

優化器(Optimizer)(SGD、Momentum、AdaGrad、RMSProp、Adam)_sgd優化器_#人工智能_08

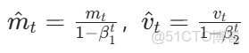
(3)偏差修正(解決初始時刻矩估計接近 0 的問題)

優化器(Optimizer)(SGD、Momentum、AdaGrad、RMSProp、Adam)_sgd優化器_稀疏數據_09

(4)參數更新:

優化器(Optimizer)(SGD、Momentum、AdaGrad、RMSProp、Adam)_sgd優化器_#人工智能_10

3、優點

(1)結合動量和自適應學習率,收斂快且穩定

(2)對超參數(如學習率)不敏感,默認參數在多數任務中表現良好

(3)適用於稀疏數據和非稀疏數據

4、缺點

(1)在某些場景(如生成對抗網絡 GAN)中可能收斂到局部最優,需結合其他策略(如學習率調度)

(2)計算量略大於 SGD,但通常可接受

5、適用場景

幾乎所有深度學習任務:自然語言處理(Transformer)、計算機視覺(CNN)、強化學習等,是目前最常用的優化器之一。

五、總結對比

優化器(Optimizer)(SGD、Momentum、AdaGrad、RMSProp、Adam)_sgd優化器_稀疏數據_11