目錄

1.課題概述

2.系統仿真結果

3.核心程序與模型

4.系統原理簡介

葉尖速比修正公式

風能利用係數

風力機輸出功率

葉尖速比與轉速關係

5.完整工程文件


1.課題概述

       本課題首先分析了風力發電系統的幾個參數指標,包括風能利用係數Cp,最大功率點跟蹤MPPT,槳距角對功率特性,然後通過SIMULINK建立了一個多風機風力發電系統。

2.系統仿真結果

風能利用係數Cp分析

基於simulink的風能/光伏發電系統仿真_fpga和matlab的技術博客_5e

基於simulink的風能/光伏發電系統仿真_fpga和matlab的技術博客_工程文件_02

MPPT

基於simulink的風能/光伏發電系統仿真_fpga和matlab的技術博客_#simulink_03

槳距角特性

基於simulink的風能/光伏發電系統仿真_fpga和matlab的技術博客_5e_04

槳距角(β)是葉片與旋轉平面的夾角,其作用為:

低風速時, β接近0°,葉片充分捕獲風能, Cp達到最大值;

高風速時,增大β可減小葉片受風面積,降低捕獲功率,避免風力機過載。 

Simulink多風機建模與仿真

基於simulink的風能/光伏發電系統仿真_fpga和matlab的技術博客_#simulink_05

基於simulink的風能/光伏發電系統仿真_fpga和matlab的技術博客_#多風機_06

基於simulink的風能/光伏發電系統仿真_fpga和matlab的技術博客_#風力發電系統_07

3.核心程序與模型

版本:Matlab2024b

...............................................................................
figure;
plot(cp(1:40,1),'r-o');hold on;
plot(cp(1:40,2),'g-o');hold on;
plot(cp(1:40,3),'y-o');hold on;							
plot(cp(1:40,4),'b-o');hold off;
grid on;
title('max Cp');
xlabel('lambda');
ylabel('Cp');
Cpmax= max(max(cp));
 

% 大風能捕獲
for i =1 : length(V)
    Pmax(i) = 0.5*row*pi*R*R*Cpmax*V(i)^3;
end

%最大功率門限,可以根據需要設定。
for i=1:length(Pmax)		
    if Pmax(i)>2.5e6		
    Pmax(i)=2.5e6;		
    end;
end;

figure;
plot(Pmax,'r-o','linewidth',2);
grid on;
title('風力機功率特性曲線');
xlabel('風速');
ylabel('功率輸出P');
08_099dm

4.系統原理簡介

葉尖速比修正公式

葉尖速比(λ)是風力機葉片尖端線速度與風速的比值,程序中通過槳距角(β)修正為:

基於simulink的風能/光伏發電系統仿真_fpga和matlab的技術博客_#多風機_08

其中,λ為初始葉尖速比,β為葉片槳距角。該公式用於修正槳距角對葉片氣動特性的影響,使葉尖速比更貼合實際工況。

程序通過遍歷不同λ值,尋找使Cp 最大的最優葉尖速比,實現最大功率點跟蹤(MPPT)。

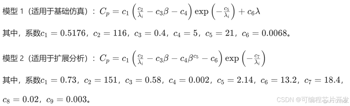
風能利用係數

風能利用係數是衡量風力機捕獲風能效率的核心指標,程序採用兩種經典模型:

基於simulink的風能/光伏發電系統仿真_fpga和matlab的技術博客_#多風機_09

風力機輸出功率

風力機的輸出功率(P)由風能捕獲理論推導,公式為:

基於simulink的風能/光伏發電系統仿真_fpga和matlab的技術博客_工程文件_10

基於simulink的風能/光伏發電系統仿真_fpga和matlab的技術博客_5e_11

葉尖速比與轉速關係

葉尖速比(λ)與風力機轉速(ω)的關係為:

基於simulink的風能/光伏發電系統仿真_fpga和matlab的技術博客_#simulink_12

其中,ω為葉片轉動角速度(單位:rad/s),程序中通過轉速(turbine_speed)間接計算。

       通過數學建模與仿真,系統揭示了風力機的風能利用機制:風能利用係數Cp 受葉尖速比和槳距角共同影響,通過最大功率點跟蹤,可實現風能的高效捕獲。