目錄

一. 概念

二. 實現

1. 查找

2. 插入

3. 中序遍歷

4. 刪除

三. 遞歸版實現

1. 查找

2. 插入

3. 刪除

4. 析構、拷貝、賦值

非遞歸+遞歸整體代碼

四. 應用模型

1. key 的搜索模型

2. key_value 的搜索模型


一. 概念

又稱二叉排序樹、二叉查找樹

性質、判定:
        1. 若它的左子樹不為空,則左子樹上所有節點的值都小於根節點的值
        2. 若它的右子樹不為空,則右子樹上所有節點的值都大於根節點的值
        3. 它的左右子樹都是二叉搜索樹

二. 實現

BinarySearchTree.h

template<class K>
struct BSTreeNode
{
	BSTreeNode<K>* _left;
	BSTreeNode<K>* _right;
	K _key;

	BSTreeNode(const K& key)
		:_left(nullptr)
		, _right(nullptr)
		, _key(key)
	{ }
};

template<class K>
class BSTree
{
	typedef BSTreeNode<K> Node;
public:
	BSTree()
		:_root(nullptr)
	{ }

	bool Insert(const K& key) {}
	bool Find(const K& key) {}
	bool Erase(const K& key) {}
	void InOrder() {}

private:
	void _InOrder(Node* root) {}

private:
	Node* _root;
};

void TestBSTree1()
{
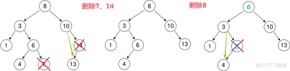
	int a[] = { 8, 3, 1, 10, 6, 4, 7, 14, 13 };
	BSTree<int> t;
	for (auto e : a)
	{
		t.Insert(e);
	}

	t.InOrder();

	t.Erase(4);
	t.InOrder();

	t.Erase(6);
	t.InOrder();

	t.Erase(7);
	t.InOrder();

	t.Erase(3);
	t.InOrder();

	for (auto e : a)
	{
		t.Erase(e);
	}
	t.InOrder();
}

1. 查找

從根開始比較,查找,比根大則往右邊走查找,比根小則往左邊走查找
最多找高度次:O(N)

C++二叉搜索樹_c++二叉查找樹_#容器

紅黑樹、AVL樹:O(logN)

bool Find(const K& key)
{
    Node* cur = _root;
    while (cur)
    {
        if (cur->_key < key)
        {
            cur = cur->_right;
        }
        else if (cur->_key > key)
        {
            cur = cur->_left;
        }
        else
        {
            return true;
        }
    }

    return false;
}

2. 插入

樹為空,則直接新增節點,賦值給 root 指針
樹不空,按二叉搜索樹性質查找插入位置,插入新節點

C++二叉搜索樹_c++二叉查找樹_#數據結構_02

bool Insert(const K& key)
{
    if (_root == nullptr)
    {
        _root = new Node(key);
        return true;
    }

    Node* parent = nullptr;
    Node* cur = _root;
    while (cur)
    {
        if (cur->_key < key)
        {
            parent = cur;
            cur = cur->_right;
        }
        else if (cur->_key > key)
        {
            parent = cur;
            cur = cur->_left;
        }
        else
        {
            return false;
        }
    }

    cur = new Node(key);
    if (parent->_key < key)
    {
        parent->_right = cur;
    }
    else
    {
        parent->_left = cur;
    }
    return true;
}

3. 中序遍歷

中序遍歷(左子樹、根、右子樹)二叉搜索樹的結果是排序的結果

void InOrder(Node* root)
{
	if (root == nullptr)
	{
		return;
	}

	InOrder(root->_left);
	cout << root->_key << " ";
	InOrder(root->_right);
}

有問題,我們在外面用對象調用中序遍歷要傳私有成員變量 _root,但是私有我們不能在類外面用

BSTree<int> t;
t.InOrder();

可以這樣解決:

void InOrder()
{
    _InOrder(_root);
    cout << endl;
}

void _InOrder(Node* root)
{
    if (root == nullptr)
    {
        return;
    }

    _InOrder(root->_left);
    cout << root->_key << " ";
    _InOrder(root->_right);
}

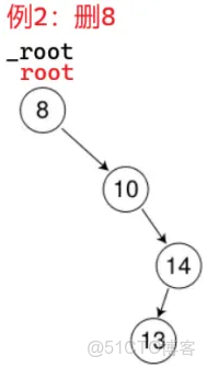
4. 刪除

要刪的節點有3種情況:
1. 沒有孩子:託孤
2. 有1個孩子:託孤
3. 有2個孩子:和左子樹的最大節點(左子樹的最右節點) 右子樹的最小節點(右子樹的最左節點) 替換

C++二叉搜索樹_c++二叉查找樹_#開發語言_03

bool Erase(const K& key)
	{
		Node* parent = nullptr;
		Node* cur = _root;

		while (cur)
		{
			if (cur->_key < key)
			{
				parent = cur;
				cur = cur->_right;
			}
			else if (cur->_key > key)
			{
				parent = cur;
				cur = cur->_left;
			}
			else // 樹中找到了要刪除的節點cur
			{
                // ......
				delete cur;
				return true;
			}
		}

		return false;
	}

cur 左為空(也解決了沒有孩子,左右都為空):

C++二叉搜索樹_c++二叉查找樹_#數據結構_04

else // 樹中找到了要刪除的節點cur
{
    // cur左為空
    if (cur->_left == nullptr)
    {
        if (parent->_right == cur)
        {
            parent->_right = cur->_right;
        }
        else
        {
            parent->_left = cur->_right;
        }
    }
    
    // ......
    delete cur;
    return true;
}

但有這種特殊情況:

C++二叉搜索樹_c++二叉查找樹_#容器_05

else // 樹中找到了要刪除的節點cur
{
    // cur左為空
    if (cur->_left == nullptr)
    {
        if (cur == _root)
        {
            _root = cur->_right;
        }
        else
        {
            if (parent->_right == cur)
            {
                parent->_right = cur->_right;
            }
            else
            {
                parent->_left = cur->_right;
            }
        }
    }
    
    // ......
    delete cur;
    return true;
}

cur 右為空:同理

C++二叉搜索樹_c++二叉查找樹_#stl_06

else // 樹中找到了要刪除的節點cur
{
    // cur左為空
    if (cur->_left == nullptr) { }
    // cur右為空
    else if (cur->_right == nullptr)
    {
        if (cur == _root)
        {
            _root = cur->_left;
        }
        else
        {
            if (parent->_right == cur)
            {
                parent->_right = cur->_left;
            }
            else // parent->_left == cur
            {
                parent->_left = cur->_left;
            }
        }
    }
    
    // ......
    delete cur;
    return true;
}

cur 左右都不為空:替換以左子樹的最大節點(左子樹的最右節點)為例

C++二叉搜索樹_c++二叉查找樹_#容器_07

注意:leftMax 是左子樹的最右節點,leftMax 這個節點一定不會有右子樹,可能有左子樹

注意:
       
這裏是左右都不為空的情況,而且我們要去左子樹找最右節點,所以 leftMax 可直接定義為 cur->_left;parent 可直接定義為 cur
        如果 leftMax 定義為 cur,parent 定義為 nullptr,例3會坑

C++二叉搜索樹_c++二叉查找樹_#stl_08

注意:替換後要通過找到父親直接刪(一定可以直接刪,因為 leftMax 右一定為空)。不能遞歸刪(7 < 8,在右子樹找,找不到,刪不了)。因為搜索樹的結構變了,而且無法傳根,無法控制;進而導致不滿足二叉搜索樹的性質

C++二叉搜索樹_c++二叉查找樹_#c++_09

else // 樹中找到了要刪除的節點cur
{
    // cur左為空
    if (cur->_left == nullptr) { }
    // cur右為空
    else if (cur->_right == nullptr) { }
    // cur左右都不為空
    else
    {
        // 找替代節點
        Node* parent = cur;
        Node* leftMax = cur->_left;
        while (leftMax->_right)
        {
            parent = leftMax;
            leftMax = leftMax->_right;
        }

        swap(cur->_key, leftMax->_key);

        if (parent->_left == leftMax)
        {
            parent->_left = leftMax->_left;
        }
        else // parent->_right == leftMax
        {
            parent->_right = leftMax->_left;
        }

        cur = leftMax;
    }
    
    delete cur;
    return true;
}

三. 遞歸版實現

C++裏,凡是樹形結構遞歸,都要單獨寫子函數。因為遞歸是子問題,要控制子樹

BinarySearchTree.h

template<class K>
struct BSTreeNode
{
	BSTreeNode<K>* _left;
	BSTreeNode<K>* _right;
	K _key;

	BSTreeNode(const K& key)
		:_left(nullptr)
		, _right(nullptr)
		, _key(key)
	{ }
};

template<class K>
class BSTree
{
	typedef BSTreeNode<K> Node;
public:
	BSTree()
		:_root(nullptr)
	{ }

	void InOrder()
	{
		_InOrder(_root);
		cout << endl;
	}

	bool FindR(const K& key)
	{
		return _FindR(_root, key);
	}

	bool InsertR(const K& key)
	{
		return _InsertR(_root, key);
	}

	bool EraseR(const K& key)
	{
		return _EraseR(_root, key);
	}

private:
	bool _FindR(Node* root, const K& key) {}
	bool _InsertR(Node*& root, const K& key) {}
    bool _EraseR(Node*& root, const K& key) {}
	void _InOrder(Node* root) {}

private:
	Node* _root;
};

1. 查找

比根大,在右子樹找;比根小,在左子樹找;到空還沒找到,則不存在

bool FindR(const K& key)
{
    return _FindR(_root, key);
}

bool _FindR(Node* root, const K& key)
{
    if (root == nullptr)
        return false;

    if (root->_key < key)
    {
        return _FindR(root->_right, key);
    }
    else if (root->_key > key)
    {
        return _FindR(root->_left, key);
    }
    else
    {
        return true;
    }
}

2. 插入

插入的值 < 根:往左子樹去插入
插入的值 > 根:往右子樹去插入
插入的值 == 根:插入失敗
走到空的地方就可以插入

怎麼插入?new Node(key),但還要找父親,怎麼解決?加引用成為 Node*& root

這裏指針的作用:鏈接樹
這裏引用的作用:下一層改變影響上一層

bool InsertR(const K& key)
{
    return _InsertR(_root, key);
}

bool _InsertR(Node*& root, const K& key)
{
    if (root == nullptr)
    {
        root = new Node(key);
        return true;
    }

    if (root->_key < key)
    {
        return _InsertR(root->_right, key);
    }
    else if (root->_key > key)
    {
        return _InsertR(root->_left, key);
    }
    else
    {
        return false;
    }
}

如果是空樹,root 是 _root 的別名,new 的第一個節點剛好給 _root
如果不是空樹,層層往下遞歸,前面的引用不起作用,每一層(每一個棧幀)都有一個引用

C++二叉搜索樹_c++二叉查找樹_#開發語言_10

6 是對象,把左指針這個成員傳給下一層,下一層的 root 是 6 的左指針的別名(引用此時不發揮作用)
5 > 4,把 4 的右指針往下傳,root4 的右指針的別名
4 的右指針為空 ==> 插入
new節點,給 root,對 root 修改,就是對 4 的右指針修改
這一句賦值,直接就鏈接上了,不用找父親,不用比較大小

C++二叉搜索樹_c++二叉查找樹_#stl_11

3. 刪除

先找有沒有要刪的節點,找到了就刪,同樣分3種情況:左為空、右為空、左右都為空

bool EraseR(const K& key)
{
    return _EraseR(_root, key);
}

bool _EraseR(Node*& root, const K& key)
{
    if (root == nullptr) // 樹裏沒有
        return false;
    
    if (root->_key < key)
    {
        return _EraseR(root->_right, key);
    }
    else if (root->_key > key)
    {
        return _EraseR(root->_left, key);
    }
    else // 找到了,準備刪
    {
        Node* del = root;
        
        if (root->_left == nullptr) // 1.左為空
        {
            root = root->_right;
        }
        else if (root->_right == nullptr) // 2.右為空
        {
            root = root->_left;
        }
        else // 3. 左右都不為空
        { }

        delete del;
        return true;
    }
}

C++二叉搜索樹_c++二叉查找樹_#開發語言_12

3 < 6,3 的右指針往下傳,root 是 3 的右指針的別名
此時 root 是 6,找到了,開始刪:root 左為空,把 root(3的右指針)賦值為 root 的右指針
root 的右指針指向 7 ==> 3 的右指針指向 7,完成了鏈接關係

C++二叉搜索樹_c++二叉查找樹_#c++_13

root 是 _root 的別名,上來就找到了,開始刪:
root 不為空,root = root->_right 就是 _root = _root->_right;


左右都為空:找替代節點(以找左樹的最右節點為例,最右節點的右一定為空)

以剛開始就找到要刪的 8 為例:
        轉化為刪紅圈的節點。非遞歸實現一定可以找父親,直接刪;不能遞歸刪

C++二叉搜索樹_c++二叉查找樹_#c++_14

我們現在有了引用,root 是 _root 的別名
但在 root 當前位置發揮不了作用,因為不需要改 _root,所以不能直接在最大的樹刪除

可以轉化為在藍圈的樹中刪,遞歸往下走,一定是右為空的情況。那時,root 是 6 的右指針的別名
走這個情形:

C++二叉搜索樹_c++二叉查找樹_#數據結構_15

else // 3. 左右都不為空
{
    Node* leftMax = root->_left;
    while (leftMax->_right)
    {
        leftMax = leftMax->_right;
    }

    swap(root->_key, leftMax->_key);

    return _EraseR(root->_left, key);
}

這種方法在替換後,會在左子樹再找一遍要刪除的節點,但代價不大

第11行遞歸進去之後,不會再次走這個左右都不為空的 else

4. 析構、拷貝、賦值

析構:析構也得寫子函數,因為要遞歸,析構函數都沒有參數
二叉樹:用後序遍歷刪除,循環不好用

拷貝:不能調 Insert,會改變樹的形狀
走前序遍例賦值

默認的拷貝構造是淺拷貝,會出錯,要自己實現深拷貝

賦值:現代寫法

BSTree(const BSTree<K>& t)
{
    _root =  Copy(t._root);
}

BSTree<K>& operator=(BSTree<K> t)
{
    swap(_root, t._root);
    return *this;
}

~BSTree()
{
    Destroy(_root);
}

void Destroy(Node*& root)
{
    if (root == nullptr)
        return;

    Destroy(root->_left);
    Destroy(root->_right);
    delete root;
    root = nullptr; // 這就是傳引用的原因
}

Node* Copy(Node* root)
{
    if (root == nullptr)
        return nullptr;

    Node* copyroot = new Node(root->_key);
    copyroot->_left = Copy(root->_left);
    copyroot->_right = Copy(root->_right);
    return copyroot;
}

非遞歸+遞歸整體代碼

template<class K>
struct BSTreeNode
{
	BSTreeNode<K>* _left;
	BSTreeNode<K>* _right;
	K _key;

	BSTreeNode(const K& key)
		:_left(nullptr)
		, _right(nullptr)
		, _key(key)
	{ }
};

template<class K>
class BSTree
{
	typedef BSTreeNode<K> Node;
public:
	BSTree()
		:_root(nullptr)
	{ }

	BSTree(const BSTree<K>& t)
	{
		_root =  Copy(t._root);
	}

	BSTree<K>& operator=( BSTree<K> t)
	{
		swap(_root, t._root);
		return *this;
	}

	~BSTree()
	{
		Destroy(_root);
	}

	bool Insert(const K& key)
	{
		if (_root == nullptr)
		{
			_root = new Node(key);
			return true;
		}

		Node* parent = nullptr;
		Node* cur = _root;
		while (cur)
		{
			if (cur->_key < key)
			{
				parent = cur;
				cur = cur->_right;
			}
			else if (cur->_key > key)
			{
				parent = cur;
				cur = cur->_left;
			}
			else
			{
				return false;
			}
		}

		cur = new Node(key);
		if (parent->_key < key)
		{
			parent->_right = cur;
		}
		else
		{
			parent->_left = cur;
		}
		return true;
	}

	bool Find(const K& key)
	{
		Node* cur = _root;
		while (cur)
		{
			if (cur->_key < key)
			{
				cur = cur->_right;
			}
			else if (cur->_key > key)
			{
				cur = cur->_left;
			}
			else
			{
				return true;
			}
		}

		return false;
	}

	bool Erase(const K& key)
	{
		Node* parent = nullptr;
		Node* cur = _root;

		while (cur)
		{
			if (cur->_key < key)
			{
				parent = cur;
				cur = cur->_right;
			}
			else if (cur->_key > key)
			{
				parent = cur;
				cur = cur->_left;
			}
			else // 樹中找到了要刪除的節點cur
			{
				// cur左為空
				if (cur->_left == nullptr)
				{
					if (cur == _root)
					{
						_root = cur->_right;
					}
					else
					{
						if (parent->_right == cur)
						{
							parent->_right = cur->_right;
						}
						else // parent->_left == cur
						{
							parent->_left = cur->_right;
						}
					}
				}
				// cur右為空
				else if (cur->_right == nullptr)
				{
					if (cur == _root)
					{
						_root = cur->_left;
					}
					else
					{
						if (parent->_right == cur)
						{
							parent->_right = cur->_left;
						}
						else // parent->_left == cur
						{
							parent->_left = cur->_left;
						}
					}
				}
				// cur左右都不為空 
				else
				{
					// 找替代節點
					Node* parent = cur;
					Node* leftMax = cur->_left;
					while (leftMax->_right)
					{
						parent = leftMax;
						leftMax = leftMax->_right;
					}

					swap(cur->_key, leftMax->_key);

					if (parent->_left == leftMax)
					{
						parent->_left = leftMax->_left;
					}
					else // parent->_right == leftMax
					{
						parent->_right = leftMax->_left;
					}

					cur = leftMax;
				}

				delete cur;
				return true;
			}
		}

		return false;
	}

	void InOrder()
	{
		_InOrder(_root);
		cout << endl;
	}

	bool FindR(const K& key)
	{
		return _FindR(_root, key);
	}

	bool InsertR(const K& key)
	{
		return _InsertR(_root, key);
	}

	bool EraseR(const K& key)
	{
		return _EraseR(_root, key);
	}

private:
	void Destroy(Node*& root)
	{
		if (root == nullptr)
			return;

		Destroy(root->_left);
		Destroy(root->_right);
		delete root;
		root = nullptr; // 這就是傳引用的原因
	}

	Node* Copy(Node* root)
	{
		if (root == nullptr)
			return nullptr;

		Node* copyroot = new Node(root->_key);
		copyroot->_left = Copy(root->_left);
		copyroot->_right = Copy(root->_right);
		return copyroot;
	}

	bool _FindR(Node* root, const K& key)
	{
		if (root == nullptr)
			return false;

		if (root->_key < key)
		{
			return _FindR(root->_right, key);
		}
		else if (root->_key > key)
		{
			return _FindR(root->_left, key);
		}
		else
		{
			return true;
		}
	}

	bool _InsertR(Node*& root, const K& key)
	{
		if (root == nullptr)
		{
			root = new Node(key);
			return true;
		}

		if (root->_key < key)
		{
			return _InsertR(root->_right, key);
		}
		else if (root->_key > key)
		{
			return _InsertR(root->_left, key);
		}
		else
		{
			return false;
		}
	}

	bool _EraseR(Node*& root, const K& key)
	{
		if (root == nullptr) // 樹裏沒有
			return false;
		
		if (root->_key < key)
		{
			return _EraseR(root->_right, key);
		}
		else if (root->_key > key)
		{
			return _EraseR(root->_left, key);
		}
		else // 找到了,準備刪
		{
			Node* del = root;
			
			if (root->_left == nullptr) // 1.左為空
			{
				root = root->_right;
			}
			else if (root->_right == nullptr) // 2.右為空
			{
				root = root->_left;
			}
			else // 3. 左右都不為空
			{
				Node* leftMax = root->_left;
				while (leftMax->_right)
				{
					leftMax = leftMax->_right;
				}

				swap(root->_key, leftMax->_key);

				return _EraseR(root->_left, key);
			}

			delete del;
			return true;
		}
	}

	void _InOrder(Node* root)
	{
		if (root == nullptr)
		{
			return;
		}

		_InOrder(root->_left);
		cout << root->_key << " ";
		_InOrder(root->_right);
	}

private:
	Node* _root;
};

void TestBSTree1()
{
	int a[] = { 8, 3, 1, 10, 6, 4, 7, 14, 13 };
	BSTree<int> t;
	for (auto e : a)
	{
		t.InsertR(e);
	}

	t.InOrder();

	t.EraseR(4);
	t.InOrder();

	t.EraseR(6);
	t.InOrder();

	t.EraseR(7);
	t.InOrder();

	t.EraseR(3);
	t.InOrder();

	for (auto e : a)
	{
		t.EraseR(e);
	}
	t.InOrder();
}

void TestBSTree2()
{
	int a[] = { 8, 3, 1, 10, 6, 4, 7, 14, 13 };
	BSTree<int> t;
	for (auto e : a)
	{
		t.InsertR(e);
	}

	BSTree<int> t1(t);

	t.InOrder();
	t1.InOrder();
}

四. 應用模型

1. key 的搜索模型

快速判斷在不在的場景

門禁系統、小區車輛出入系統 ……

2. key_value 的搜索模型

通過一個值找另一個值

商場的車輛出入系統、高鐵實名制車票系統 ……

namespace key_value
{
	template<class K, class V>
	struct BSTreeNode
	{
		BSTreeNode<K, V>* _left;
		BSTreeNode<K, V>* _right;
		K _key;
		V _value;

		BSTreeNode(const K& key, const V& value)
			:_left(nullptr)
			, _right(nullptr)
			, _key(key)
			, _value(value)
		{ }
	};

	template<class K, class V>
	class BSTree
	{
		typedef BSTreeNode<K, V> Node;
	public:
		BSTree()
			:_root(nullptr)
		{ }

		void InOrder()
		{
			_InOrder(_root);
			cout << endl;
		}

		Node* FindR(const K& key)
		{
			return _FindR(_root, key);
		}

		bool InsertR(const K& key, const V& value)
		{
			return _InsertR(_root, key, value);
		}

		bool EraseR(const K& key)
		{
			return _EraseR(_root, key);
		}

	private:
		Node* _FindR(Node* root, const K& key)
		{
			if (root == nullptr)
				return nullptr;

			if (root->_key < key)
			{
				return _FindR(root->_right, key);
			}
			else if (root->_key > key)
			{
				return _FindR(root->_left, key);
			}
			else
			{
				return root;
			}
		}

		bool _InsertR(Node*& root, const K& key, const V& value)
		{
			if (root == nullptr)
			{
				root = new Node(key, value);
				return true;
			}

			if (root->_key < key)
			{
				return _InsertR(root->_right, key, value);
			}
			else if (root->_key > key)
			{
				return _InsertR(root->_left, key, value);
			}
			else
			{
				return false;
			}
		}

		bool _EraseR(Node*& root, const K& key)
		{
			if (root == nullptr) // 樹裏沒有
				return false;

			if (root->_key < key)
			{
				return _EraseR(root->_right, key);
			}
			else if (root->_key > key)
			{
				return _EraseR(root->_left, key);
			}
			else // 找到了,準備刪
			{
				Node* del = root;

				if (root->_left == nullptr) // 1.左為空
				{
					root = root->_right;
				}
				else if (root->_right == nullptr) // 2.右為空
				{
					root = root->_left;
				}
				else // 3. 左右都不為空
				{
					Node* leftMax = root->_left;
					while (leftMax->_right)
					{
						leftMax = leftMax->_right;
					}

					swap(root->_key, leftMax->_key);

					return _EraseR(root->_left, key);
				}

				delete del;
				return true;
			}
		}

		void _InOrder(Node* root)
		{
			if (root == nullptr)
			{
				return;
			}

			_InOrder(root->_left);
			cout << root->_key << ":" << root->_value << endl;
			_InOrder(root->_right);
		}

	private:
		Node* _root;
	};
}

拼寫檢查:讀取詞庫放到一顆搜索樹;讀取單詞,看在不在樹中,不在則拼寫錯誤

void TestBSTree1()
{
    BSTree<string, string> dict;
    dict.InsertR("hello", "你好");
    dict.InsertR("tree", "樹");
    dict.InsertR("apple", "蘋果");
    dict.InsertR("day", "天");

    string str;
    while (cin >> str)
    {
        BSTreeNode<string, string>* ret = dict.FindR(str);
        if (ret != nullptr)
        {
            cout << ret->_value << endl;
        }
        else
        {
            cout << "沒有此單詞" << endl;
        }
    }
}

C++二叉搜索樹_c++二叉查找樹_#容器_16

統計出現次數

void TestBSTree2()
{
    string arr[] = { "蘋果", "西瓜", "蘋果", "西瓜", "蘋果",
        "蘋果", "西瓜", "蘋果", "香蕉", "蘋果", "香蕉" };
    BSTree<string, int> countTree;
    for (auto& str : arr)
    {
        BSTreeNode<string, int>* ret = countTree.FindR(str);
        if (ret == nullptr)
        {
            countTree.InsertR(str, 1);
        }
        else
        {
            ret->_value++;
        }
    }

    countTree.InOrder();
}

C++二叉搜索樹_c++二叉查找樹_#stl_17