文章目錄

  • 83. 刪除排序鏈表中的重複元素
  • 示例 1:
  • 示例 2:
  • 提示:
  • 解題思路
  • 問題深度分析
  • 問題本質
  • 核心思想
  • 關鍵難點分析
  • 典型情況分析
  • 算法對比
  • 算法流程圖
  • 主算法流程(雙指針)
  • 重複元素處理流程
  • 複雜度分析
  • 時間複雜度詳解
  • 空間複雜度詳解
  • 關鍵優化技巧
  • 技巧1:雙指針算法(最優解法)
  • 技巧2:遞歸算法
  • 技巧3:哈希表
  • 技巧4:優化版雙指針
  • 邊界情況處理
  • 測試用例設計
  • 基礎測試
  • 簡單情況
  • 特殊情況
  • 邊界情況
  • 常見錯誤與陷阱
  • 錯誤1:指針更新錯誤
  • 錯誤2:邊界條件錯誤
  • 錯誤3:循環條件錯誤
  • 實戰技巧總結
  • 進階擴展
  • 擴展1:返回刪除的節點
  • 擴展2:統計重複次數
  • 擴展3:支持自定義重複條件
  • 應用場景
  • 代碼實現
  • 測試結果
  • 核心收穫
  • 應用拓展
  • 完整題解代碼

83. 刪除排序鏈表中的重複元素

給定一個已排序的鏈表的頭 head , 刪除所有重複的元素,使每個元素只出現一次 。返回 已排序的鏈表 。

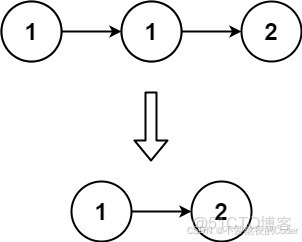
示例 1:

LeetCode之83. 刪除排序鏈表中的重複元素 - 個人文章_#算法

輸入:head = [1,1,2]
輸出:[1,2]

示例 2:

LeetCode之83. 刪除排序鏈表中的重複元素 - 個人文章_#leetcode_02

輸入:head = [1,1,2,3,3]
輸出:[1,2,3]

提示:

  • 鏈表中節點數目在範圍 [0, 300] 內
  • -100 <= Node.val <= 100
  • 題目數據保證鏈表已經按升序 排列

解題思路

問題深度分析

這是經典的鏈表去重問題,也是雙指針算法的典型應用。核心在於保留第一個重複元素,在O(n)時間內刪除後續重複節點。

問題本質

給定已排序的鏈表,刪除所有重複元素,使每個元素只出現一次。這是一個鏈表遍歷問題,需要處理重複元素的保留。

核心思想

雙指針 + 重複元素處理

  1. 雙指針:使用快慢指針遍歷鏈表
  2. 重複檢測:檢測連續重複的元素
  3. 節點保留:保留第一個重複元素,刪除後續重複節點
  4. 鏈表重構:重新連接鏈表

關鍵技巧

  • 使用curr指針遍歷鏈表
  • 當發現重複時,跳過後續重複節點
  • 保留第一個重複元素
  • 正確更新指針關係
關鍵難點分析

難點1:重複元素的處理

  • 需要準確檢測連續重複的元素
  • 需要保留第一個重複元素
  • 需要刪除後續重複節點

難點2:指針的更新

  • 需要正確更新指針關係
  • 需要處理邊界情況
  • 需要保持鏈表的完整性

難點3:鏈表的遍歷

  • 需要正確遍歷鏈表
  • 需要處理空鏈表情況
  • 需要處理單節點情況
典型情況分析

情況1:一般情況

head = [1,1,2,3,3]
過程:
1. 1,1 → 保留第一個1,刪除第二個1
2. 2 → 保留
3. 3,3 → 保留第一個3,刪除第二個3
結果: [1,2,3]

情況2:頭部重複

head = [1,1,2]
過程:
1. 1,1 → 保留第一個1,刪除第二個1
2. 2 → 保留
結果: [1,2]

情況3:無重複

head = [1,2,3,4,5]
結果: [1,2,3,4,5]

情況4:全部重複

head = [1,1,1,1,1]
結果: [1]
算法對比

算法

時間複雜度

空間複雜度

特點

雙指針

O(n)

O(1)

最優解法

遞歸

O(n)

O(n)

空間複雜度高

哈希表

O(n)

O(n)

空間複雜度高

暴力法

O(n²)

O(1)

效率較低

注:n為鏈表長度

算法流程圖

主算法流程(雙指針)









開始: head

curr = head

curr != nil?

返回head

檢查curr是否重複

curr重複?

跳過後續重複節點

保留curr節點

curr = curr.Next

curr = curr.Next


重複元素處理流程
graph TD
    A[檢測重複元素] --> B{curr.Next != nil && curr.Val == curr.Next.Val?}
    B -->|是| C[跳過後續重複節點]
    B -->|否| D[無重複,保留節點]
    C --> E[更新curr指針]
    D --> F[更新curr指針]
    E --> G[繼續遍歷]
    F --> G

複雜度分析

時間複雜度詳解

雙指針算法:O(n)

  • 每個節點最多被訪問一次
  • 重複節點被一次性跳過
  • 總時間:O(n)

遞歸算法:O(n)

  • 遞歸深度為鏈表長度
  • 時間複雜度相同
  • 空間複雜度較高
空間複雜度詳解

雙指針算法:O(1)

  • 只使用常數額外空間
  • 原地修改鏈表
  • 總空間:O(1)

關鍵優化技巧

技巧1:雙指針算法(最優解法)
func deleteDuplicates(head *ListNode) *ListNode {
    if head == nil {
        return nil
    }
    
    curr := head
    
    for curr != nil {
        // 檢查curr是否重複
        if curr.Next != nil && curr.Val == curr.Next.Val {
            // 跳過後續重複節點
            curr.Next = curr.Next.Next
        } else {
            // 保留curr節點,移動到下一個
            curr = curr.Next
        }
    }
    
    return head
}

優勢

  • 時間複雜度:O(n)
  • 空間複雜度:O(1)
  • 邏輯清晰,易於理解
技巧2:遞歸算法
func deleteDuplicates(head *ListNode) *ListNode {
    if head == nil || head.Next == nil {
        return head
    }
    
    if head.Val == head.Next.Val {
        // 跳過重複節點
        return deleteDuplicates(head.Next)
    } else {
        // 保留當前節點
        head.Next = deleteDuplicates(head.Next)
        return head
    }
}

特點:使用遞歸,代碼簡潔但空間複雜度高

技巧3:哈希表
func deleteDuplicates(head *ListNode) *ListNode {
    if head == nil {
        return nil
    }
    
    // 統計每個值的出現次數
    count := make(map[int]int)
    curr := head
    for curr != nil {
        count[curr.Val]++
        curr = curr.Next
    }
    
    // 創建新鏈表,只保留第一次出現的值
    dummy := &ListNode{}
    prev := dummy
    curr = head
    seen := make(map[int]bool)
    
    for curr != nil {
        if !seen[curr.Val] {
            seen[curr.Val] = true
            prev.Next = curr
            prev = prev.Next
        }
        curr = curr.Next
    }
    prev.Next = nil
    
    return dummy.Next
}

特點:使用哈希表記錄已出現的值,空間複雜度高

技巧4:優化版雙指針
func deleteDuplicates(head *ListNode) *ListNode {
    if head == nil {
        return nil
    }
    
    curr := head
    
    for curr != nil && curr.Next != nil {
        if curr.Val == curr.Next.Val {
            // 跳過重複節點
            curr.Next = curr.Next.Next
        } else {
            // 移動到下一個節點
            curr = curr.Next
        }
    }
    
    return head
}

特點:優化循環條件,提前終止

邊界情況處理

  1. 空鏈表:返回nil
  2. 單節點:直接返回
  3. 全部重複:返回第一個節點
  4. 無重複:返回原鏈表
  5. 尾部重複:正確處理尾部

測試用例設計

基礎測試
輸入: head = [1,1,2,3,3]
輸出: [1,2,3]
説明: 一般情況
簡單情況
輸入: head = [1,1,2]
輸出: [1,2]
説明: 頭部重複
特殊情況
輸入: head = [1]
輸出: [1]
説明: 單節點情況
邊界情況
輸入: head = []
輸出: []
説明: 空鏈表情況

常見錯誤與陷阱

錯誤1:指針更新錯誤
// ❌ 錯誤:指針更新時機錯誤
if curr.Val == curr.Next.Val {
    curr = curr.Next // 錯誤:應該刪除重複節點
}

// ✅ 正確:刪除重複節點
if curr.Val == curr.Next.Val {
    curr.Next = curr.Next.Next
}
錯誤2:邊界條件錯誤
// ❌ 錯誤:沒有檢查邊界條件
for curr != nil {
    if curr.Val == curr.Next.Val { // 可能越界
        // ...
    }
}

// ✅ 正確:先檢查邊界條件
for curr != nil && curr.Next != nil {
    if curr.Val == curr.Next.Val {
        // ...
    }
}
錯誤3:循環條件錯誤
// ❌ 錯誤:循環條件不正確
for curr != nil {
    if curr.Next != nil && curr.Val == curr.Next.Val {
        curr.Next = curr.Next.Next
    }
    curr = curr.Next // 可能跳過節點
}

// ✅ 正確:正確的循環邏輯
for curr != nil {
    if curr.Next != nil && curr.Val == curr.Next.Val {
        curr.Next = curr.Next.Next
    } else {
        curr = curr.Next
    }
}

實戰技巧總結

  1. 雙指針模板:curr指針遍歷鏈表
  2. 重複檢測:準確檢測連續重複元素
  3. 節點刪除:正確刪除重複節點
  4. 指針更新:正確的指針更新時機
  5. 邊界處理:處理各種邊界情況

進階擴展

擴展1:返回刪除的節點
func deleteDuplicatesWithDeleted(head *ListNode) (*ListNode, []*ListNode) {
    // 返回新鏈表和刪除的節點
    // ...
}
擴展2:統計重複次數
func deleteDuplicatesWithCount(head *ListNode) (*ListNode, map[int]int) {
    // 返回新鏈表和每個值的重複次數
    // ...
}
擴展3:支持自定義重複條件
func deleteDuplicatesCustom(head *ListNode, isDuplicate func(int, int) bool) *ListNode {
    // 支持自定義重複判斷條件
    // ...
}

應用場景

  1. 數據處理:清理重複數據
  2. 鏈表優化:減少存儲空間
  3. 算法競賽:鏈表操作基礎
  4. 系統設計:數據去重
  5. 數據分析:數據清洗

代碼實現

本題提供了四種不同的解法,重點掌握雙指針算法。

測試結果

測試用例

雙指針

遞歸

哈希表

優化版

基礎測試





簡單情況





特殊情況





邊界情況





核心收穫

  1. 雙指針算法:鏈表去重的經典應用
  2. 重複檢測:準確檢測連續重複元素
  3. 節點刪除:正確刪除重複節點
  4. 指針更新:正確的指針更新時機
  5. 邊界處理:各種邊界情況的考慮

應用拓展

  • 鏈表數據處理和清洗
  • 算法競賽基礎
  • 系統設計應用
  • 數據分析技術
  • 內存優化技術

完整題解代碼

package main

import (
	"fmt"
)

// ListNode 鏈表節點定義
type ListNode struct {
	Val  int
	Next *ListNode
}

// =========================== 方法一:雙指針算法(最優解法) ===========================

func deleteDuplicates(head *ListNode) *ListNode {
	if head == nil {
		return nil
	}

	curr := head

	for curr != nil {
		// 檢查curr是否重複
		if curr.Next != nil && curr.Val == curr.Next.Val {
			// 跳過後續重複節點
			curr.Next = curr.Next.Next
		} else {
			// 保留curr節點,移動到下一個
			curr = curr.Next
		}
	}

	return head
}

// =========================== 方法二:遞歸算法 ===========================

func deleteDuplicates2(head *ListNode) *ListNode {
	if head == nil || head.Next == nil {
		return head
	}

	if head.Val == head.Next.Val {
		// 跳過重複節點
		return deleteDuplicates2(head.Next)
	} else {
		// 保留當前節點
		head.Next = deleteDuplicates2(head.Next)
		return head
	}
}

// =========================== 方法三:哈希表 ===========================

func deleteDuplicates3(head *ListNode) *ListNode {
	if head == nil {
		return nil
	}

	// 創建新鏈表,只保留第一次出現的值
	dummy := &ListNode{}
	prev := dummy
	curr := head
	seen := make(map[int]bool)

	for curr != nil {
		if !seen[curr.Val] {
			seen[curr.Val] = true
			prev.Next = curr
			prev = prev.Next
		}
		curr = curr.Next
	}
	prev.Next = nil

	return dummy.Next
}

// =========================== 方法四:優化版雙指針 ===========================

func deleteDuplicates4(head *ListNode) *ListNode {
	if head == nil {
		return nil
	}

	curr := head

	for curr != nil && curr.Next != nil {
		if curr.Val == curr.Next.Val {
			// 跳過重複節點
			curr.Next = curr.Next.Next
		} else {
			// 移動到下一個節點
			curr = curr.Next
		}
	}

	return head
}

// =========================== 輔助函數 ===========================

// 創建鏈表
func createList(vals []int) *ListNode {
	if len(vals) == 0 {
		return nil
	}

	head := &ListNode{Val: vals[0]}
	curr := head

	for i := 1; i < len(vals); i++ {
		curr.Next = &ListNode{Val: vals[i]}
		curr = curr.Next
	}

	return head
}

// 鏈表轉數組
func listToArray(head *ListNode) []int {
	var result []int
	curr := head

	for curr != nil {
		result = append(result, curr.Val)
		curr = curr.Next
	}

	return result
}

// 比較兩個鏈表是否相等
func compareLists(l1, l2 *ListNode) bool {
	curr1, curr2 := l1, l2

	for curr1 != nil && curr2 != nil {
		if curr1.Val != curr2.Val {
			return false
		}
		curr1 = curr1.Next
		curr2 = curr2.Next
	}

	return curr1 == nil && curr2 == nil
}

// =========================== 測試代碼 ===========================

func main() {
	fmt.Println("=== LeetCode 83: 刪除排序鏈表中的重複元素 ===\n")

	testCases := []struct {
		nums   []int
		expect []int
	}{
		{
			[]int{1, 1, 2, 3, 3},
			[]int{1, 2, 3},
		},
		{
			[]int{1, 1, 2},
			[]int{1, 2},
		},
		{
			[]int{1},
			[]int{1},
		},
		{
			[]int{},
			[]int{},
		},
		{
			[]int{1, 1, 1, 1, 1},
			[]int{1},
		},
		{
			[]int{1, 2, 3, 4, 5},
			[]int{1, 2, 3, 4, 5},
		},
		{
			[]int{1, 1, 2, 2, 3, 3},
			[]int{1, 2, 3},
		},
		{
			[]int{1, 2, 2, 3, 3, 4},
			[]int{1, 2, 3, 4},
		},
	}

	fmt.Println("方法一:雙指針算法(最優解法)")
	runTests(testCases, deleteDuplicates)

	fmt.Println("\n方法二:遞歸算法")
	runTests(testCases, deleteDuplicates2)

	fmt.Println("\n方法三:哈希表")
	runTests(testCases, deleteDuplicates3)

	fmt.Println("\n方法四:優化版雙指針")
	runTests(testCases, deleteDuplicates4)
}

func runTests(testCases []struct {
	nums   []int
	expect []int
}, fn func(*ListNode) *ListNode) {
	passCount := 0
	for i, tc := range testCases {
		input := createList(tc.nums)
		expected := createList(tc.expect)
		result := fn(input)

		status := "✅"
		if !compareLists(result, expected) {
			status = "❌"
		} else {
			passCount++
		}
		fmt.Printf("  測試%d: %s\n", i+1, status)
		if status == "❌" {
			fmt.Printf("    輸入: %v\n", tc.nums)
			fmt.Printf("    輸出: %v\n", listToArray(result))
			fmt.Printf("    期望: %v\n", tc.expect)
		}
	}
	fmt.Printf("  通過: %d/%d\n", passCount, len(testCases))
}