博客 / 詳情

返回

高度場流體模擬

【USparkle專欄】如果你深懷絕技,愛“搞點研究”,樂於分享也博採眾長,我們期待你的加入,讓智慧的火花碰撞交織,讓知識的傳遞生生不息!


一、原理

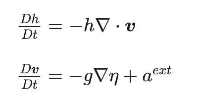
參考這個論文:《Real-time Simulation of Large Bodies of Water with Small Scale Details》

核心是這兩個公式:

我在這篇《波動方程與淺水方程》中作了説明,轉貼如下:

淺水方程:
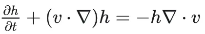
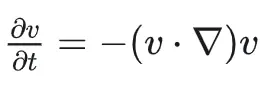
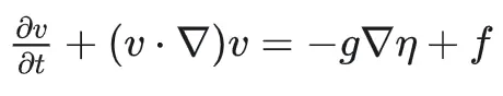
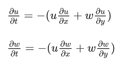
(1)動量方程

(2)質量守恆

其實淺水方程的動量方程,就是在NS方程的動量方程

中令p=ρgη(η為海拔)得來,物理含義是表面隆起(或凹陷)產生壓強(或負壓強)。注意η和h的區別,h是水深,η是海拔,如果設河牀高度為H,則有η=H+h。H是x,y的函數,h是x,y,t的函數。

對於普通水可以忽略粘性,進一步簡化為:

論文中所用公式為:

這其實就是淺水方程。説明如下:
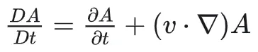
D為物質導數,定義為

將(2)式中物質導數展開得

可見就是淺水方程的動量方程忽略掉粘性項。再看(1)式,將其中物質導數展開得

又因為h是標量v是向量且均為空間的函數,根據散度的運算性質,有

代入得

可見就是淺水方程的質量守恆方程。

注:

  1. 淺水方程的動量方程(2)用的是海拔η,質量守恆方程(1)用的是水深h,這正是它可以適用於凹凸不平地形,模擬洪泛的原因。假如我們強行讓兩方程都用h,那就相當於是假定海拔等於水深,即水底是平面,則不再具備模擬洪泛的能力,但仍可模擬水波。

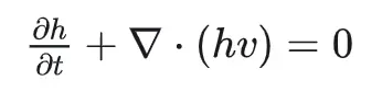
質量守恆方程:

求解,對應論文中:

動量方程:

求解,其中求解對流項:

對應論文中:

由於沒給公式,我暫時忽略了這項。

求解壓力和外力項:

對應論文中:

二、MAC網格

論文中的離散化形式,含有:

這種一半的項,是因為引入了稱作MAC網格的技巧,即將流入/流出速度看作是在cell的邊上,在處理散度相關問題時,經常用到。

下圖很直觀:
Eulerian Fluid Simulation Notes [Part 1]
Bridson's notes:nov17-cs533d-slides.ppt

三、實現

最終是要用Shader實現,但初期驗證算法出於Debug方便考慮,還是先用Houdini實現。

當然,我們可以真的在Houdini裏建一個非常“具象的”MAC網格,就是每個格子表示一個cell,cell的邊界上可以附加速度向量。

但為了將來轉Shader更直接,我用的更接近二維數組的結構,我用一個二維點陣代表Grid,每個Point代表一個cell,Point有如下屬性:

f@h=0;

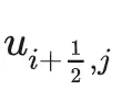
f@u_r=0;//即u[i+1/2,j]

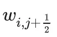
f@w_d=0;//即w[i,j+1/2]

f@h_r=0;//即h[i+1/2,j]

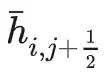
f@h_d=0;//即h[i,j+1/2] 

至於為啥沒有u_l(u[i-1/2,j]),w_u(w[i,j-1/2]),h_l(h[i-1/2,j]),h_u(h[i,j-1/2]),是因為當前Point的u_l其實就是左邊格子的u_r,即它已經在左邊格子中存過的,就沒有必要在此格中再存一遍了。如果我們想獲得u_l,只需如下:

int ID=@ptnum;

int i=floor(ID/N);

int j=ID%N;

int ID_L=j*N+i-1;

float u_l=point(0,"u_r",ID_L)

w_u,h_l,h_u同理。

這也正是論文中這段:

只給出



表達式,而沒有寫



表達式的原因。因為當前cell的



正是左邊cell和上邊cell(假設我的Grid是y軸向下)的


只要左邊cell和上邊cell已經計算過,就可以直接訪問而無需在本cell中再重新計算一次。

同理,下面這段只給


也是同樣原因:

然後,就只是抄公式了。

四、穩定性

由於是離散模擬,而且用的是最簡單的顯式積分,所以會有數值穩定性問題,論文中列了幾個措施可以提高穩定性:

Overshooting Reduction:
在論文的2.2節,提到有水與沒水交界處,h的振幅會因數值問題而被放大,導致邊緣出現尖刺甚至撕裂,用如下方法緩解:

Stability Enhancements:
在論文的2.1.5節,提到如下約束可提高穩定性:

五、參數對效果的影響

g,α,Δx,Δt對效果均有影響。

例如,不同α值對比:

α=0.5
https://www.youku.com/video/XNjQ2MzkwNDMwMA==

α=0.6
https://www.youku.com/video/XNjQ3MTY1OTE4MA==

可見,α=0.5和α=0.6相比,由於速度限制更狠,顯得更粘稠。

以上我們實現了凹凸不平地形上的淺水方程模擬,但忽略了對流項。

以下作了些改進,主要添加了對流項、渦度約束和邊界條件。

效果:
https://www.youku.com/video/XNjQ2MzkwMzAzMg==

六、添加對流項

對流項:

有兩種實現方式:一種是Gather方法,一種是直接離散化方法。

(一)Gather方法
實際上在Gather方法之前,還有一個Scatter方法,這兩種方法都是拋開對流的數學公式,而直接從公式背後的物理含義出發的模擬方法。Scatter方法就是把當前cell的屬性傳輸出去,Gather方法就是把上游點的屬性傳輸給當前cell。在《NS方程與2d流體模擬》中説過,Gather方法由於對GPU友好,更常用。

對流的Gather方法實現,可以參考《遊戲中的流體模擬(Fluid Simulation),技術美術教程 》。

由於我要在之前的基礎上加對流,而那個模擬過程中只使用到邊速度,但上面教程中的實現用的是cell速度,所以需要在邊速度和cell速度之間互轉。

過程如下:
Pass1:由邊速度計算cell速度。

Pass2:計算對流Advect。
1.用9個格加權平均估算當前cell平滑速度。
2.將當前cell平滑速度乘以dt再反向,以此作為偏移量去採樣上游目標點的速度(用雙線性插值)。
3.用採到的速度替換當前cell的速度。

Pass3:由cell速度計算邊速度。
其中需要注意的點有:
1.邊速度與cell速度之間的互轉。
我問的ChatGPT:

由於兩個問題我是連續問的,所以它給出的公式也恰好是互逆的。我驗證了一下,如果把Pass2屏蔽,只剩Pass1和Pass3,結果確實不受影響。

2.無水處的速度
用9個cell的速度加權平均計算當前cell平滑速度時,不用管各cell是否有水,照加不誤。採樣上游點速度覆蓋當前cell速度時,也不用管上游點處是否有水,照覆蓋不誤。原因是,只要能保證無水處速度是0,上面的計算就都是合理的。至於如何保證無水處速度為0,見後面"邊界條件"一節。

3.數值穩定性及對流快慢和強度控制
以下兩項措施可以提高對流的數值穩定性:
(1)縮短步長:將偏移-V*dt採樣改為偏移-V*dt*0.5採樣,這樣雖然會導致對流變慢(如果滴入墨水的話,體現為墨水擴散變慢),但有助於數值穩定性。如果將步長減半的同時又不想對流變慢,可以在一幀內將對流迭代兩次。

(2)減弱影響:將“用目標點速度覆蓋當前點速度”這一步,改為不完全覆蓋,而是按一定比例(如0.5)進行混合。這樣雖然會使對流效果減弱,但也有助於數值穩定性。

是否縮短步長和減弱影響,也未必總是出於數值穩定性考慮,有時候為了效果,也需要對對流的快速和強度進行控制。

4.邊框處理
計算當前cell平滑速度時,9個cell中超出邊框者要去掉。採樣上游點時,如果上游點超出邊框,則放棄當前cell的對流計算。

(二)直接離散化方法
就是將

展開為(設v=(u,w)):

其中右邊各項離散化如下:

這裏用的是迎風格式,參考ChatGPT:

同樣可以用縮短步長和減弱影響對對流快慢和強度進行控制,以及提高數值穩定性。

七、添加墨水

要想讓對流效果明顯地顯示出來,需要添加墨水。
方法如下:
1.標記一些cell為inkSource。
2.每幀對標為inkSource的cell追加ink值:ink+=inkAmount*dt
3.在解算對流時:
如果用的是Gather方法,則除了用上游點的速度覆蓋當前點速度外,還要用上游點ink覆蓋當前點ink。如果用的是直接離散化方法,則除了計算du、dw,(u,w)+=(du,dw),還要計算dink,ink+=dink。
4.最後將ink可視化。

八、兩種對流方法效果對比

下面視頻中左邊為Gather,右邊為直接離散化:
https://www.youku.com/video/XNjQ2MzkwNzUwNA==

可見,大致效果接近,由於兩種方法很不同,所以基本可佐證實現是正確的。

九、添加渦度約束

方法在《NS方程與2d流體模擬》中已經寫過。

需要注意的一點是,如果GetCurl函數中沒有除以Δx,則要在外面補上。另外為了讓效果與時間解耦,最終速度調整量還應乘以Δt。

有無渦度約束對比(左:無渦度約束,右:有渦度約束):

可見,區別還是很明顯的。

十、添加邊界條件

1.邊框處理
在之前的文章中,我沒有限制水不能流出邊框,所以水一直沿着河道流,永遠不會漫上來。

這次,我加了水不能流出邊框的限制,只需將邊框視作障礙物,每幀末尾將邊框cell的邊速度和cell速度均標為0即可。這在論文《hfFluid.pdf》中有寫:

2.使無水處速度為0
淺水方程本身是無法保證無水處速度為0的,因為從

來看,當無水,即h=0時,變為

即仍會由於地形本身有梯度而產生速度。所以,要想讓無水處速度為0,只能通過人為添加約束實現。

其實,上面Boundary Conditions這段已經給出了方法,就是通過

判斷右側邊(i+1/2,j)是否為“岸”。類似方法也可以判斷出左、上、下各邊是否為岸。

而且分析一下會發現,這種判斷方法下,不僅岸與非岸的交界邊會被判為岸,岸上的邊也都會被判為岸,這正是我們想要的。於是對於判斷為岸的邊,我們在每幀末尾將其邊速度強制設為0,則可實現無水處速度為0的目標。至於cell速度,由於它是由邊速度算出的,所以只要邊速度標對了,cell速度自然也就對了。

另外,由於我們是在每幀末尾將無水處速度標為0的,所以我將對流的計算放在最前面,以保證對流計算是在無水cell速度為0的情況下進行的。

下圖是不加岸邊速度置0(左)與加岸邊速度置0(右),速度場及最終效果對比:

看起來似乎差別不大,但有一點,如果近看的話,會發現岸邊速度不置0的模擬結果,水會在岸邊隆起,不太合理,而加了岸邊速度置0的模擬結果,水與岸邊則是比較平滑的過度,如圖所示:

左:不加岸邊速度置0,右:加岸邊速度置0


這是侑虎科技第1787篇文章,感謝作者楊超wantnon供稿。歡迎轉發分享,未經作者授權請勿轉載。如果您有任何獨到的見解或者發現也歡迎聯繫我們,一起探討。(QQ羣:793972859)

作者主頁:https://www.zhihu.com/people/wantnon

再次感謝楊超wantnon的分享,如果您有任何獨到的見解或者發現也歡迎聯繫我們,一起探討。(QQ羣:793972859)

user avatar
0 位用戶收藏了這個故事!

發佈 評論

Some HTML is okay.