博客 / 詳情

返回

古今對話!都江堰治水智慧借數字孿生實現現代化躍遷

2024年10月,中央紀委國家監委網站刊登 《全國水利數據底板基本建成》 一文,重點介紹了都江堰渠首數字孿生系統在防汛調度中的成功應用,標誌着我國數字孿生水利建設從先行先試進入全面深化新階段。

公元前256年,李冰父子修建都江堰,以 “深淘灘、低作堰”的治水智慧實現了人與自然的和諧共生。2200多年後的今天,都江堰灌區建成了覆蓋26.7平方公里的數字孿生系統,通過數字線程將千年治水經驗轉化為精準算法,開創了虛實融合的治理新範式。

技術原理一:多源傳感與數據融合

數字孿生的基礎在於對物理世界的精準感知。都江堰渠首數字孿生系統佈設了1421個監測設備,包括水位計、流量計、視頻監控等傳感器,每5秒採集一次數據。這些多源異構數據通過卡爾曼濾波算法進行融合處理:

z_k = Hx_k + v_k其中x_k為系統狀態向量,z_k為觀測向量,A、B、H為變換矩陣,w_k和v_k為噪聲。通過這一算法,系統將不同精度、頻率的傳感數據統一為毫米級精度的時空一致信息,為後續分析提供高質量數據基礎。

技術原理二:水動力學模型與實時仿真

數字孿生的核心在於對物理過程的精準模擬。系統採用聖維南方程組描述水流運動:

其中Q為流量,A為過水麪積,h為水位,S_f為摩擦坡度。基於有限體積法離散求解,結合LiDAR掃描的23處水閘BIM模型和48幅水下地形數據,系統能夠以分鐘級精度預測各河段來水量。

2024年7月岷江洪峯期間,該系統提前預演了2030立方米/秒流量下的水流演進路徑,為調度決策提供了關鍵支持。

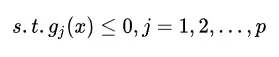
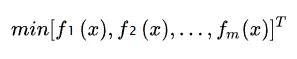
技術原理三:智能優化與決策支持

數字孿生的最高價值體現在其對管理決策的優化能力。系統通過多目標優化算法求解最優調度方案:


其中f_i為第i個目標函數,g_j為約束條件。

在都江堰灌區,目標包括供水效益最大化、防洪風險最小化、能耗最低化等,約束則涉及河道安全流量、閘門開度限制等。
系統利用強化學習算法,通過與歷史數據對比不斷優化調度策略,使水資源利用率提升15%以上。

凡拓數創參與的 “左港水庫數字孿生平台” 項目,整合了水文監測、視頻監控、氣象預報等多元數據,構建了水庫運行的數字鏡像,實現了洪水演進模擬與應急預案推演等功能,展示了在數字孿生水利領域的應用能力。

從都江堰的“乘勢利導”到數字孿生的“精準預測”,治水智慧完成了跨越千年的對話。這種虛實融合的治理新模式,正為各行各業提供着可持續發展的創新範式。

user avatar
0 位用戶收藏了這個故事!

發佈 評論

Some HTML is okay.