博客 / 詳情

返回

揭秘“認養農業”:物聯網與區塊鏈如何守護你的私家菜園?

2025年初,萬東鎮五和村的黃花梨園還未開花,每棵梨樹已被提前認養,認養人可通過手機隨時查看果樹生長情況。這種 “認養農業”新業態正快速普及,其背後是數字孿生技術提供的精準管護支持。
當你在城市家中通過手機屏幕 “雲種植” 一棵梨樹或一片菜地時,一個複雜的數字農業系統正在幕後運作。認養農業的核心在於建立了從農田到手機的直連通道,而支撐這一通道的,是數字孿生技術構建的“虛擬農場”與物理農場的實時聯動。

技術基石:數字孿生如何實現農田可視化

認養農業首先需要解決的是信任問題。藉助部署在農場的高清攝像頭、土壤傳感器和氣象站等物聯網設備,物理世界的農事活動被實時數字化。例如,在妙隘寨石農莊的智慧果園,土壤濕度、養分含量、氣温等數據被實時監測並傳輸至管理平台。這些數據通過卡爾曼濾波算法進行融合處理:

其中x_k為系統狀態向量,通過這一算法,系統將不同精度、頻率的傳感數據統一為高質量信息,實現農田狀態的精準可視化和遠程查看。

智能灌溉:從人工判斷到AI決策

傳統農業依賴農民的經驗判斷何時灌溉、施肥,而認養農業則通過數據驅動決策實現精準管護。安裝在田間的傳感器持續收集土壤濕度數據,當系統檢測到某塊區域需要灌溉時,會自動下達指令。
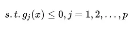
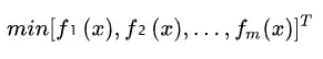
智能灌溉的核心在於多目標優化算法,系統需同時考慮作物需水量、土壤濕度、天氣預報等多重因素:

其中f_i為各目標函數,g_j為約束條件。通過這一算法,系統能在滿足作物生長需求的同時,實現水資源的最優分配。

溯源體系:從農田到餐桌的全程透明

認養農業最具創新性的部分在於構建了完整的農產品溯源系統。以五和村的黃花梨為例,認養人可以通過掃碼瞭解果樹從開花到結果的全過程,包括施肥、除蟲等關鍵農事操作的時間、用量等詳細信息。
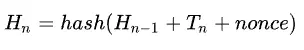
該系統採用區塊鏈技術確保數據不可篡改,每個環節的信息都被記錄在分佈式賬本中:

其中H_n為當前區塊哈希值,T_n為當前時間戳。這種機制保證了溯源信息的真實可靠,增強了消費者對農產品質量的信心。

實踐案例:技術支持與應用前景

在具體應用中,數字孿生技術為農業項目提供支持。例如,凡拓數創在相關智慧農業項目中,通過構建可視化管理系統平台,可以實現園區運營數據的實時監測與分析。該系統能夠整合傳感器網絡與業務數據,為農事決策提供可視化支持。

在智慧農業領域,數字孿生技術通過集成物聯網設備與三維可視化能力,可構建農場的虛擬映射,輔助管理者優化種植策略。這種技術路徑為認養農業的實現提供了底層架構支持。

認養農業的興起,標誌着農業生產從 “經驗驅動”向數據驅動的轉變。通過數字孿生技術,消費者與生產者之間建立了前所未有的連接,這種連接不僅改變了農產品的銷售方式,更正在重塑現代農業的生產模式和管理理念。

user avatar
0 位用戶收藏了這個故事!

發佈 評論

Some HTML is okay.