博客 / 詳情

返回

揭秘數字孿生三大技術原理:統一幾何表示+數據同化

工業機器人在虛擬環境中不斷“試錯”和迭代,數字孿生正悄然成為產業智能化的核心引擎。
在剛剛揭幕的第八屆中國國際進口博覽會上,西門子展示了一場引人深思的“漢諾塔AI腦力對決”:當觀眾隨機打亂漢諾塔後,多個AI大模型迅速生成解題路徑,並在三維協作平台中進行驗證,最終驅動機械臂精準完成拼搭。

這不僅是AI的展示,更是數字孿生技術在工業場景深度應用的信號。

01 數字孿生:虛擬與現實的橋樑

數字孿生,本質上是通過Stieltjes微分方程等數學工具,將物理實體鏡像映射到虛擬空間,生成對應的“數字雙胞胎”。這一虛擬表徵能通過物聯網實現數據的實時雙向互聯,反映物理實體的全生命週期過程。

在製造業中,數字孿生扮演着“物理AI訓練場”的角色。它通過統一的幾何表示方法,如自適應採樣距離函數,克服了傳統制造過程中邊界表示、網格和體素模型等多重轉換引入的誤差問題。

數字孿生成為連接信息世界與物理世界的核心紐帶。

02 三大技術原理剖析

●統一幾何表示:自適應採樣距離函數

製造過程本質上是組件狀態連續變化的過程,而傳統的幾何表示方法需要在不同表示間頻繁轉換。自適應採樣距離函數提供了一種統一的體積表示法,能夠捕獲零件在每個加工步驟的狀態。
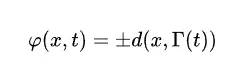
該方法通過距離函數在三維空間中的自適應採樣,實現對複雜幾何形狀和物理屬性的統一描述。其核心在於通過水平集方法表示界面和幾何形狀:

其中d表示點x到界面Γ(t)的距離,符號取決於點在界面的內部或外部。這種表示支持布爾運算、偏微分方程求解和多物理場仿真,為數字孿生提供堅實的幾何基礎。

●數據同化與貝葉斯不確定性量化

數字孿生需要將物理系統的傳感器數據持續融入虛擬模型。貝葉斯方法在此發揮關鍵作用,通過後驗概率更新來量化不確定性:

其中θ表示模型參數,D表示觀測數據。p(θ)為先驗分佈,p(D|θ)為似然函數,p(θ|D)為後驗分佈。
這一公式使數字孿生能夠動態適應物理系統的變化,通過實時數據同化不斷修正模型參數,保持虛擬與真實狀態的一致性。

●基於Stieltjes微分方程的實時映射

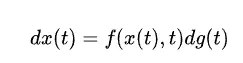
數字孿生的核心數學基礎可以通過Stieltjes微分方程來表達:

其中g(t)是一個單調遞增函數,可能包含跳躍點,從而允許模型處理連續時間動態和離散事件。
這種表示特別適合製造過程中的狀態跟蹤,能夠有效處理混合動態系統——既包含連續過程(如温度變化),又包含離散事件(如機器啓停)。

03 工業AI的實踐之路

在實際應用中,工業AI與數字孿生的結合正催生眾多創新解決方案。凡拓數創正積極推進AI 3D數字孿生產品開發,為客户提供行業軟件產品服務。

其自研的FTE數字孿生引擎已通過國產化芯片、服務器及操作系統的信創適配認證,在智慧城市、智能製造等眾多領域得到廣泛應用。

在冶金行業,中國十五冶金與西門子聯合開發了業界首個面向銅冶煉場景的AI智能體系統。該系統融合銅冶煉行業11個工藝段的實時數據,將專家知識結構化提取後存入向量知識庫,成功解決了冶煉過程中的銅含量波動、温度控制及經驗依賴等關鍵問題。
應用後,冰銅品位穩定性提升15%,生產安全性與環保合規性顯著增強。

04 技術挑戰與未來方向

儘管數字孿生技術前景廣闊,但仍面臨多重挑戰。數字孿生工具間的基礎挑戰是機器傳感器、控制器與底層數字表示的互操作性。
當前幾何表示方法需要多次轉換為中間表示,這些轉換會引入誤差,使過程數據管理複雜化。
未來數字孿生的發展將依賴於科學機器學習的進步。SciML通過將物理定律與數據驅動方法相結合,為構建更高保真度的數字孿生提供可能。

功能數據分析和模型降階方法也將幫助降低計算複雜度,使實時仿真成為可能。

凡拓數創提供的AI 3D數字孿生軟件產品,以AI技術、3D數字孿生技術、實景渲染技術為依託,融合GIS、BIM、CIM等技術,正應用於工業、水利水務、能源電力、交通環保等多個行業。

隨着技術不斷成熟,數字孿生將不再只是製造的輔助工具,而成為產業創新的核心驅動力量,引領各行各業走向更智能、更高效的未來。

user avatar
0 位用戶收藏了這個故事!

發佈 評論

Some HTML is okay.