動態

詳情 返回 返回

效率至高提升20倍!加州大學開發OmniCast,解決自迴歸天氣預報模型誤差累計問題 - 動態 詳情

次季節至季節(Subseasonal-to-seasonal, S2S)尺度天氣預報介於短期天氣預報與長期氣候預測之間,聚焦未來 2 周至 6 周的天氣演變,精準填補了中遠期氣象預測空白,為農業規劃、災害防禦等提供關鍵依據。但 S2S 天氣預測既難依託快速衰減的大氣初始信息(中短期預報條件),又難捕捉尚未充分顯現的慢變邊界信號(氣候預測條件),在混沌的大氣系統與複雜的海陸氣相互作用下,預報難度顯著增加。

近年來,從傳統數值天氣預報(Numerical Weather Prediction, NWP)系統到深度學習驅動的氣象預測方法的技術迭代,雖在推動 S2S 天氣預報發展方面發揮了重要作用,但在 S2S 的實際應用中仍存在諸多挑戰。例如,傳統數值方法主要靠求解複雜的物理方程,不僅計算成本極高,且耗時很長;數據驅動方法雖然在短期預報中做到了「快、短、準」,但基於自迴歸設計的方式通過前一步預測結果計算下一步, 在更長週期的 S2S 應用中會像滾雪球一樣使誤差越積越大,同時還會忽略 S2S 天氣預報關鍵的慢變邊界強迫信號。

針對於此,加州大學洛杉磯分校的團隊聯合美國阿貢國家實驗室提出了一種新型潛在擴散模型 OmniCast,用於高精度概率性 S2S 天氣預報。該模型結合了變分自編碼器(VAE)和 Transformer 模型,採用跨時空的聯合採樣方式,可大幅緩解自迴歸方法的誤差累計問題,同時又能夠學習初始條件之外的天氣動態規律。 實驗證明,該模型在準確性、物理一致性和概率性指標上均達到了當前方法最優水平。

相關研究以「OmniCast: A Masked Latent Diffusion Model for Weather Forecasting Across Time Scales」為題,入選 AI 頂級學術會議 NeurIPS 2025。

研究亮點:

  • 通過同時考慮時空維度來生成未來天氣,OmniCast 解決了以往基於自迴歸設計的模型誤差越積越大的問題
  • OmniCast 能同時兼顧短期天氣預報需要的大氣初始信息和氣候預測需要的慢變邊界強迫條件
  • OmniCast 在準確性、物理一致性和概率預測方面均優於現有方法,計算速度比現有主流方法快 10-20 倍

論文地址:

https://go.hyper.ai/YANIu

更多 AI 前沿論文:
https://hyper.ai/papers

數據集:基於廣泛使用的 ERA5 基礎數據集,分類適配不同預測任務

為確保 OmniCast 在訓練和評估方面得到充分、合理的支持,研究採用了目前被氣象領域廣泛應用的高分辨率再分析數據集 ERA5 作為基礎數據來源,並針對中期天氣預報(Medium-range Weather Forecasting)和 S2S 天氣預報兩個不同的預報任務進行了數據預處理,以作為基準測試集適配不同的任務要求。

具體來説,研究先從 ERA5 再分析數據集中提煉了 69 個氣象變量, 涵蓋兩大類核心指標:

地面變量(4 類): 2 米氣温(T2m)、10 米 U 風速分量(U 10)、10 米 V 風速分量(V10)和平均海平面氣壓(MSLP);

大氣變量(5 類): 位勢高度(Z)、氣温(T)、U 風速分量、V 風速分量和比濕(Q)。大氣變量涵蓋 13 個氣壓層(單位:hPa),分別是 50、100、150、200、250、300、400、500、600、700、850、925、1000。

之後,針對不同預報任務,研究根據時間範圍劃分了訓練集、驗證集和測試集:

中期天氣預報任務:採用 WeatherBench2 (WB2)作為基準測試集, 其訓練集時間範圍為 1979 ~ 2018 年,驗證集時間範圍為 2019 年,測試集時間範圍為 2020 年,初始條件採用 00 時(UTC)和 12 時(UTC)的數據。分辨率大小為原生的 0.25°(721 x 1440 網格)。

S2S 天氣預報任務:採用 ChaosBench 作為基準測試集,其訓練集時間範圍為 1979 ~ 2020 年,驗證集時間範圍為 2021 年,測試集時間範圍為 2022 年,初始條件採用 00 時(UTC)的數據。分辨率大小為 1.40625°(128 x 256 網格)。

OmniCast 模型:兩階段設計,構建 S2S 天氣預測的新範式

OmniCast 的核心能力在於整體規避了傳統自迴歸模型的誤差累積問題,從而構建起兼顧短期天氣預測和長期氣候預測需求條件的能力,為 S2S 天氣預測的實際應用落地提供可用、可靠的工具。 SeasonCast 模型的架構核心基於「兩階段」設計, 首先通過 VAE 實現數據降維,然後通過帶擴散頭的 Transformer 實現時序生成。

第一階段的核心模塊是採用 UNet 架構實現的 VAE,其核心作用是「降維」與「重構」,將高維度的原始天氣數據壓縮為低維度、連續的 latent tokens(潛在特徵向量),從而降低龐大變量、高空間分辨率等導致的計算效率問題。VAE 輸入/輸出通道數均為 69,對應 69 個氣象變量。例如在 S2S 天氣預報任務中,VAE 編碼器可將尺寸為 69 x 128 x 256 的原始天氣數據壓縮為尺寸為 1024 x 8 x 16 的潛在映射,空間維度壓縮比為 16。生成時,VAE 又會將 Transformer 輸出的 latent tokens 還原為原始維度的天氣數據(如氣温、氣壓等)。

值得注意的是,研究採用了連續型 VAE,而非離散型 VAE,因為離散型 VAE 會因天氣數據變量多導致壓縮比過高、信息丟失嚴重等問題,從而影響第二階段生成建模的性能。而連續型 VAE 壓縮比僅 100 倍,對於可能包含數百個物理變量的天氣狀態來説,能保留更多氣象關鍵信息。

第二階段的核心模塊是掩碼生成式 Transformer(如下圖所示), 採用掩碼自編碼器(Masked Autoencoder,MAE)的編碼器-解碼器架構。它是實現「無誤差累積生成」的關鍵,通過掩碼訓練和擴散預測直接建模未來全序列 latent tokens。在結構方面,研究採用了雙向 Encoder-Decoder 架構,支持同時利用初始條件和已生成的可見 tokens 預測掩碼部分。Transformer 架構包含 16 層網絡,每層有 16 個注意力頭,隱藏層維度為 1024,dropout 率為 0.1。

Transformer 主幹網工作示意圖

另外,因為 latent tokens 是連續向量,傳統分類頭無法建模其分佈,因此在 Transformer 輸出後接入擴散模型頭(小型 MLP 實現),用以預測掩碼的 latent tokens 分佈(如下圖所示)。

去噪網絡 eθ 根據 zi 和 xsi 預測噪聲 ϵ

為了提升短期預報準確性,研究還引入了輔助均方誤差損失(Auxiliary Mean-squared error loss)。具體來説,在短期天氣預報中, 由於 10 天后天氣系統的混沌特性會顯著增強,確定性預測的意義會逐漸降低,通過添加額外的 MLP 確定性頭,可以針對前 10 幀 latent tokens 計算 MSE 損失。另外採用指數遞減權重策略,可以突出早期幀準確預測的重要性。

成果展示:對標兩類方法,效率遠超基準模型達 10~20倍

為了驗證 OmniCast 的有效性和先進性,研究人員將其與兩類主流方法進行了比較, 一類是最先進的深度學習方法,另一類是基於傳統物理模型的數值方法。如前所述,實驗驗證包括中期天氣預報和 S2S 天氣預報兩個任務,分析指標包含了準確性、物理一致性和概率性。

首先在 S2S 天氣預測任務中, 研究人員將 OmniCast 與 PanguWeather(PW)和 GraphCast(GC)在內的兩個深度學習方法,以及UKMO-ENS(英國)、NCEP-ENS(美國)、CMA-ENS(中國)和 ECMWF-ENS(歐洲)四個國家及地區的數值模型集合系統進行了比較。

在準確性指標(均方根誤差(RMSE)、絕對偏差(ABS BIAS)和多尺度結構相似相(SSIM))方面,OmniCast 在短期預報時效內的 RMSE 和 SSIM 上表現都意料之中的略遜於其他基準模型。當然,這是由 OmniCast 的訓練目的導致的,但隨着預報時效增加,OmniCast 的相對性能會逐步提升,在 10 天后可達到與 ECMWF-ENS 相當的最優表現。 如下圖所示:

在三個關鍵變量下,不同方法在 1~44 天預報時效內的預測確定性性能:實線代表深度學習方法,虛線代表數值方法

值得注意的是,OmniCast 在所有基準模型中偏差最小, 對三類目標變量的預報均能保持近零偏差。

在物理一致性方面,OmniCast 的物理一致性顯著優於其他深度學習方法, 且在多數情況下性能超過所有基準模型。這一結果表明了 OmniCast 能夠有效保留不同頻率範圍內的信號,從而保證預報的物理合理性。如下圖所示:

在三個關鍵變量下,不同方法在 1~44 天預報時效內的物理一致性指標:實線代表深度學習方法,虛線代表數值方法

在概率性指標方面(連續排序概率評分(CRPS)和離散技巧比(SSR),後者數值越接近 1 越好),與準確性指標類似,在較短預報時效內,OmniCast 性能略遜於 ECMWF-ENS,但 15 天后會實現反超。 總而言之,在各類變量和不同預報時效下,OmniCast 與 ECMWF-ENS 都是表現最優的兩類方法。如下圖所示:

在三個關鍵變量下,不同方法在 1~44 天預報時效內的概率性指標:實線代表深度學習方法,虛線代表數值方法

除以上試驗外,研究團隊還將 OmniCast 與今年提出的適用於長時效天氣預測的深度學習方法進行了對比,包括 ClimaX(基於 Transformer 架構) 和 Stormer(基於改進的圖神經網絡)。結果顯示,OmniCast 在所有指標上均優於兩者。在 RMSE 指標上,T850 和 Z500 分別比 ClimaX 低 16.8% 和 16.0%;比 Stormer 低 11.6% 和 10.2%;在 CRPS 指標上,比 ClimaX 低 20.2% 和 17.1%,比 Stormer 低 13.9% 和 11.0%。該結果證明了 OmniCast 在長時效天氣預測中具有顯著優勢, 通過潛在擴散模型與掩碼生成框架的結合,其對天氣序列長程依賴的建模能力優於傳統深度學習架構。如下圖所示:

OmniCast 與其他深度學習方法的準確性比較

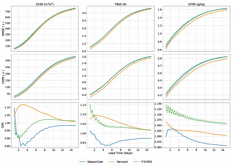
之後在中期天氣預測任務中, 研究團隊將 OmniCast 與用於概率性預報的主流深度學習方法 Gencast 和數值集合預報系統的「黃金標準」——IFS-ENS 這兩類基準模型進行了對比,以 RMSE、CRPS 和 SSR 作為評估指標。如下圖所示:

不同方法在中期預報中的概率表現:實線代表深度學習方法,虛線代表數值方法

結果顯示,OmniCast 在所有變量和指標上的表現均與 IFS-ENS 相當,僅略遜於 Gencast。但在補充的效率實驗中發現,得益於潛在空間建模設計——通過低維潛在 token 代替高維原始天氣數據進行計算,OmniCast 速度比所有基準模型更快,可達 10 ~ 20 倍。

另外,如下圖所示,OmniCast 在 32 塊 NVIDIA A100 GPU 上僅需訓練 4 天, 相比之下,Gencast 需要在比 A100 更強的 32 塊 TPUv5e 設備上訓練 5 天,而 NeuralGCM 則需要在 128 塊 TPUv5e 上訓練 10 天。此外,Gencast 需要採用兩個階段訓練流程,而 SeasonCast 只需要單階段訓練。推理階段,OmniCast 同樣比這些方法更快,在 0.25° 分辨率下,Cencast 需要 480 秒,而 OmniCast 僅需要 29 秒即可完成相同的預報;在 1.0° 分辨率下,OmniCast 的推理時間僅為 11 秒,相同硬件下的 Gencast 則需要 224 秒。

不同方法生成未來 15 天預報時的運行時間與分辨率對比

不斷突破 S2S 預測桎梏,精準填補中遠期天氣預測空白

S2S 天氣預報憑藉「無縫銜接」短期天氣預報和長期氣候預測的獨特定位,長期佔據着氣象領域核心研究地位,如今已在學術理論研討、實驗技術攻關、落地場景應用等層面,構建起跨主體、多維度的高效交流網絡。

例如今年 5 月下旬,由世界氣象組織主辦、山東大學承辦的「AI+災害預報預警國際研討會」就吸引了來自三十多個國家或地區的三百餘名專家學者通過線上線下的方式參加。會議重點則聚焦在人工智能的新技術與 S2S 預測應用的結合上,共同描繪了 S2S 預測在防災減災中的美好畫卷。

除了學術研討會,實驗成果也是碩果累累。復旦大學人工智能創新與產業研究院、上海科學智能研究院李昊研究員與漆遠教授團隊攜手中國氣象局氣候研究開放實驗室陸波研究員團隊,基於機器學習開發出名為「伏羲(FuXi-S2S)」的預測模型, 可快速有效地生成大型集合預測,7 秒內即可完成 42 天的綜合預測。
論文標題: A machine learning model that outperforms conventional global subseasonal forecast models
論文地址: https://www.nature.com/articles/s41467-024-50714-1

柏林工業大學、英國雷丁大學等團隊,在 S2S 天氣預報研究中引入「遙相關」現象——例如北極上空的平流層極渦(SPV)、熱帶 Madden-Julian 震盪(MJO),並通過設計三種複雜度逐步升級的深度學習模型展開驗證。 首先是基礎 LSTM(Long Short-term Memory)模型;隨後通過加入 SPV、MJO 兩項「遙相關」指標,升級得到 Index-LSTM 模型;最後進一步改進,不再依賴提前計算的指標,而是通過「視覺分析」直接處理北極地區高空風場和熱帶地區長波輻射數據,構建出 Vit LSTM 模型。通過對三種模型對比分析,團隊驗證了「遙相關」信息對提升 S2S 預報精度的重要性。其中,ViT-LSTM 在第四周之後,對斯堪的納維亞阻塞、大西洋脊這兩種天氣模式的預測準確性,甚至超過了 ECMWF。

論文標題: Deep Learning Meets Teleconnections: Improving S2S Predictions for European Winter Weather
論文地址: https://arxiv.org/abs/2504.07625

總而言之,困擾 S2S 天氣預報的問題正隨着技術的迭代而減少,未來,隨着人工智能和深度學習等技術與氣象領域的融合加深,勢必將會徹底打破「天有不測風雲」的傳統認知。從古人觀雲識天的經驗之談,到如今 AI 模型秒級生成月餘預報,人類對天氣的認知與掌握,也正邁向一個前所有的清晰境地。

user avatar zhidechaomian_detxs7 頭像 sovitjs 頭像 u_17467352 頭像 puxiaoke6 頭像 meituanjishutuandui 頭像 kohler21 頭像 zgm1 頭像 wanlanqiudeyuechi 頭像 old_it 頭像 liutos 頭像 yanyingjie 頭像 xuri 頭像
點贊 23 用戶, 點贊了這篇動態!
點贊

Add a new 評論

Some HTML is okay.