編輯:ll

SBD521S-30-ASEMI可直接替代安世1PS79SB10

型號:SBD521S-30

品牌:ASEMI

封裝:SMAF

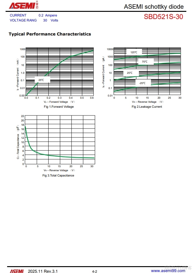
正向電流:0.2A

反向電壓:30V

正向壓降:0.55V~0.95V

引線數量:2

芯片個數:1

芯片尺寸:MIL

漏電流:10ua

恢復時間:35ns

浪涌電流:80A

芯片材質:

正向電壓:1.10V

封裝尺寸:如圖

特性:小家電專用二極管

工作結温:-50℃~150℃

包裝方式:500/管;5000/箱

ASEMI首芯半導體可替代安氏半導體功率器件

肖特基二極管的核心優勢在於低正向壓降與快開關速度,而 SBD520S-30 在此基礎上實現了全面升級。其正向壓降低至典型值 0.55V,相較於傳統二極管,能大幅減少導通損耗,在高頻開關場景中可降低電路能耗達 30% 以上 —— 這意味着搭載該器件的電源適配器、充電寶等設備,不僅能提升能量轉換效率,更能有效減少發熱,延長整機使用壽命。針對高頻應用場景,SBD520S-30 的開關速度突破 ns 級瓶頸,反向恢復時間短至極致,完美適配 1MHz 以上高頻電路,為快充技術、高頻電源模塊等前沿應用提供了穩定的技術支撐。

SBDAF60V3-ASEMI肖特基二極管的電性參數:正向電流3A;反向電壓60V

SBD521S-30肖特基二極管被廣泛適用於:新能源汽車、車用、電源、充電器、適配器、LED燈飾、大小家電、民用及工業設備等產品中使用。

整流橋廠家ASEMI的插件整流橋和貼片整流橋型號大全_51CTO博客_應用場景

整流橋廠家ASEMI的插件整流橋和貼片整流橋型號大全_51CTO博客_反向恢復_02

整流橋廠家ASEMI的插件整流橋和貼片整流橋型號大全_51CTO博客_反向恢復_03