機器學習中的參數估計方法


本文主要介紹文本分析的三類參數估計方法-最大似然估計MLE、最大後驗概率估計MAP及貝葉斯估計,以及三者之間的區別。

1、最大似然估計MLE

首先回顧一下貝葉斯公式

ARDregression參數_參數估計

這個公式也稱為逆概率公式,可以將後驗概率轉化為基於似然函數和先驗概率的計算表達式,即

ARDregression參數_ARDregression參數_02

最大似然估計就是要用似然函數取到最大值時的參數值作為估計值,似然函數可以寫做

ARDregression參數_機器學習_03

由於有連乘運算,通常對似然函數取對數計算簡便,即對數似然函數。最大似然估計問題可以寫成

ARDregression參數_機器學習_04

這是一個關於

ARDregression參數_ARDregression參數_05

的函數,求解這個優化問題通常對

ARDregression參數_ARDregression參數_05

求導,得到導數為0的極值點。該函數取得最大值是對應的

ARDregression參數_ARDregression參數_05

的取值就是我們估計的模型參數。

以扔硬幣的伯努利實驗為例子,N次實驗的結果服從二項分佈,參數為P,即每次實驗事件發生的概率,不妨設為是得到正面的概率。為了估計P,採用最大似然估計,似然函數可以寫作

ARDregression參數_參數估計_08

其中

ARDregression參數_機器學習_09

表示實驗結果為i的次數。下面求似然函數的極值點,有

ARDregression參數_參數估計_10

得到參數p的最大似然估計值為

ARDregression參數_ARDregression參數_11

可以看出二項分佈中每次事件發的概率p就等於做N次獨立重複隨機試驗中事件發生的概率。

如果我們做20次實驗,出現正面12次,反面8次

那麼根據最大似然估計得到參數值p為12/20 = 0.6。

2、最大後驗估計MAP

最大後驗估計與最大似然估計相似,不同點在於估計

ARDregression參數_ARDregression參數_05

的函數中允許加入一個先驗

ARDregression參數_最大似然估計_13

,也就是説此時不是要求似然函數最大,而是要求由貝葉斯公式計算出的整個後驗概率最大,即

ARDregression參數_ARDregression參數_14

注意這裏P(X)與參數

ARDregression參數_ARDregression參數_05

無關,因此等價於要使分子最大。與最大似然估計相比,現在需要多加上一個先驗分佈概率的對數。在實際應用中,這個先驗可以用來描述人們已經知道或者接受的普遍規律。例如在扔硬幣的試驗中,每次拋出正面發生的概率應該服從一個概率分佈,這個概率在0.5處取得最大值,這個分佈就是先驗分佈。先驗分佈的參數我們稱為超參數(hyperparameter)即

ARDregression參數_最大似然估計_16

同樣的道理,當上述後驗概率取得最大值時,我們就得到根據MAP估計出的參數值。給定觀測到的樣本數據,一個新的值

ARDregression參數_機器學習_17

發生的概率是

ARDregression參數_最大似然估計_18

下面我們仍然以扔硬幣的例子來説明,我們期望先驗概率分佈在0.5處取得最大值,我們可以選用Beta分佈即

ARDregression參數_最大似然估計_19

其中Beta函數展開是

ARDregression參數_最大似然估計_20

當x為正整數時


ARDregression參數_ARDregression參數_21

Beta分佈的隨機變量範圍是[0,1],所以可以生成normalised probability values。下圖給出了不同參數情況下的Beta分佈的概率密度函數


ARDregression參數_參數估計_22

我們取

ARDregression參數_最大似然估計_23

,這樣先驗分佈在0.5處取得最大值,現在我們來求解MAP估計函數的極值點,同樣對p求導數我們有

ARDregression參數_ARDregression參數_24

得到參數p的的最大後驗估計值為

ARDregression參數_參數估計_25

和最大似然估計的結果對比可以發現結果中多了

ARDregression參數_機器學習_26

這樣的pseudo-counts,這就是先驗在起作用。並且超參數越大,為了改變先驗分佈傳遞的belief所需要的觀察值就越多,此時對應的Beta函數越聚集,緊縮在其最大值兩側。

如果我們做20次實驗,出現正面12次,反面8次,那麼

那麼根據MAP估計出來的參數p為16/28 = 0.571,小於最大似然估計得到的值0.6,這也顯示了“硬幣一般是兩面均勻的”這一先驗對參數估計的影響。

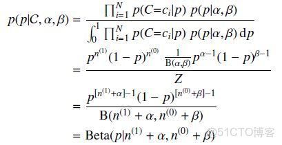
3 貝葉斯估計

貝葉斯估計是在MAP上做進一步拓展,此時不直接估計參數的值,而是允許參數服從一定概率分佈。回顧一下貝葉斯公式

ARDregression參數_參數估計

現在不是要求後驗概率最大,這樣就需要求

ARDregression參數_參數估計_28

,即觀察到的evidence的概率,由全概率公式展開可得

當新的數據被觀察到時,後驗概率可以自動隨之調整。但是通常這個全概率的求法是貝葉斯估計比較有技巧性的地方。

那麼如何用貝葉斯估計來做預測呢?如果我們想求一個新值

ARDregression參數_參數估計_29

的概率,可以由

ARDregression參數_最大似然估計_30

來計算。注意此時第二項因子在上的積分不再等於1,這就是和MLE及MAP很大的不同點。

我們仍然以扔硬幣的伯努利實驗為例來説明。和MAP中一樣,我們假設先驗分佈為Beta分佈,但是構造貝葉斯估計時,不是要求用後驗最大時的參數來近似作為參數值,而是求滿足Beta分佈的參數p的期望,有


ARDregression參數_機器學習_31

注意這裏用到了公式

ARDregression參數_最大似然估計_32

當T為二維的情形可以對Beta分佈來應用;T為多維的情形可以對狄利克雷分佈應用

根據結果可以知道,根據貝葉斯估計,參數p服從一個新的Beta分佈。回憶一下,我們為p選取的先驗分佈是Beta分佈,然後以p為參數的二項分佈用貝葉斯估計得到的後驗概率仍然服從Beta分佈,由此我們説二項分佈和Beta分佈是共軛分佈。在概率語言模型中,通常選取共軛分佈作為先驗,可以帶來計算上的方便性。最典型的就是LDA中每個文檔中詞的Topic分佈服從Multinomial分佈,其先驗選取共軛分佈即Dirichlet分佈;每個Topic下詞的分佈服從Multinomial分佈,其先驗也同樣選取共軛分佈即Dirichlet分佈。

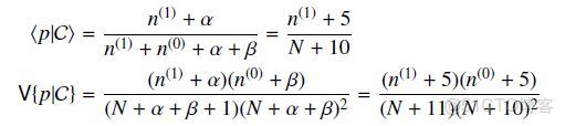
根據Beta分佈的期望和方差計算公式,我們有


ARDregression參數_機器學習_33

可以看出此時估計的p的期望和MLE ,MAP中得到的估計值都不同,此時如果仍然是做20次實驗,12次正面,8次反面,那麼我們根據貝葉斯估計得到的p滿足參數為12+5和8+5的Beta分佈,其均值和方差分別是17/30=0.567, 17*13/(31*30^2)=0.0079。可以看到此時求出的p的期望比MLE和MAP得到的估計值都小,更加接近0.5。

綜上所述我們可以可視化MLE,MAP和貝葉斯估計對參數的估計結果如下


ARDregression參數_參數估計_34

個人理解是,從MLE到MAP再到貝葉斯估計,對參數的表示越來越精確,得到的參數估計結果也越來越接近0.5這個先驗概率,越來越能夠反映基於樣本的真實參數情況。



4.三者之間的區別

    首先我們可以看到,最大似然估計和最大後驗估計都是基於一個假設,即把待估計的參數π看做是一個固定的值,只是其取值未知。而最大似然是最簡單的形式,其假定參數雖然未知,但是是確定值,就是找到使得樣本對數似然分佈最大的參數。而最大後驗,只是優化函數為後驗概率形式,多了一個先驗概率項。 而貝葉斯估計和二者最大的不同在於,它假定參數是一個隨機的變量,不是確定值。在樣本分佈P(π|χ)上,π是有可能取從0到1的任意一個值的,只是取到的概率不同。而MAP和MLE只取了整個概率分佈P(π|χ)上的一個點,丟失了一些觀察到的數據χ給予的信息(這也就是經典統計學派和貝葉斯學派最大的分歧所在。)