文章目錄

  • 基本概念
  • 實例
  • Python實現
  • 測試代碼


基本概念

  要理解Tarjan算法,必須瞭解以下兩個概念,發現時間戳discovery time與低連接值low-link value
  發現時間戳這個很容易理解,Kosajaru算法沒有使用到發現時間戳,但是使用了結束時間戳。低連接值是一個強連通分量(以下簡稱SCC)裏所有節點的最小發現時間戳。也就是説一個SCC內,所有的點的低連接值相同。
  圖拉真的算法其實很簡單,在DFS過程中,如果沒有環存在,那麼低連接值是等於發現時間戳的。什麼時候不會相等呢?產生回邊的時候,如果有回邊,那麼就更新當前低連接值為鄰居的低連接值,也就是父級節點的低連接值。在遞歸過程中,低連接值不斷傳遞。如果沒有遇到回邊,那麼節點就會被彈出,形成一個SCC。

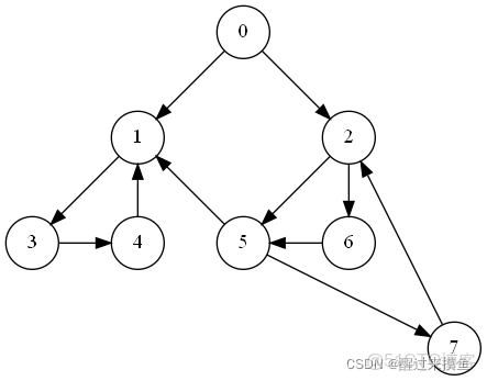
實例

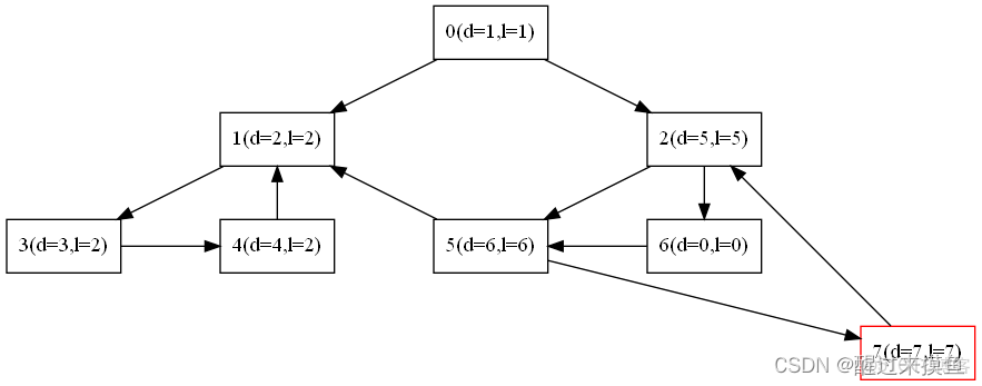
  如以下圖:

TV demura 算法_TV demura 算法


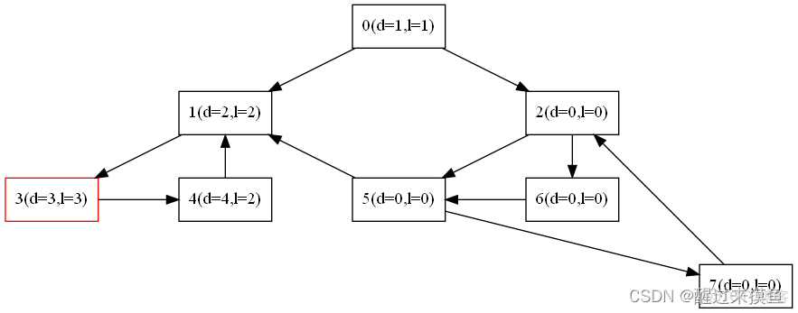
  首先一直DFS下去,遇到一個回邊:

TV demura 算法_TV demura 算法_02

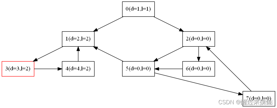
  將其改成1的low值,也就是改成回邊的low值:

TV demura 算法_Python_03

  再是3:

TV demura 算法_#算法_04


TV demura 算法_Python_05


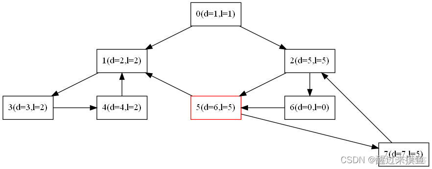
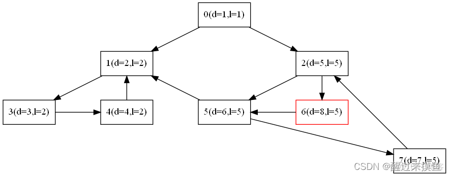
  再是7:

TV demura 算法_Python_06


TV demura 算法_#算法_07

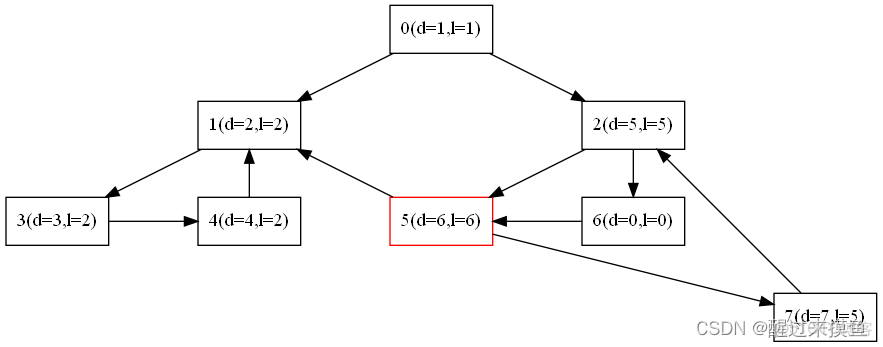
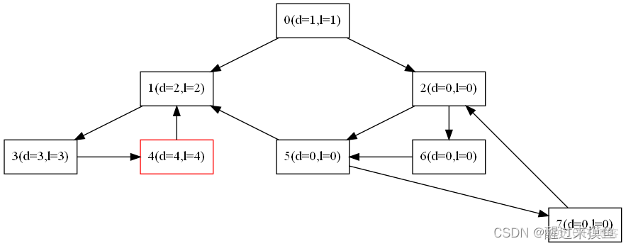
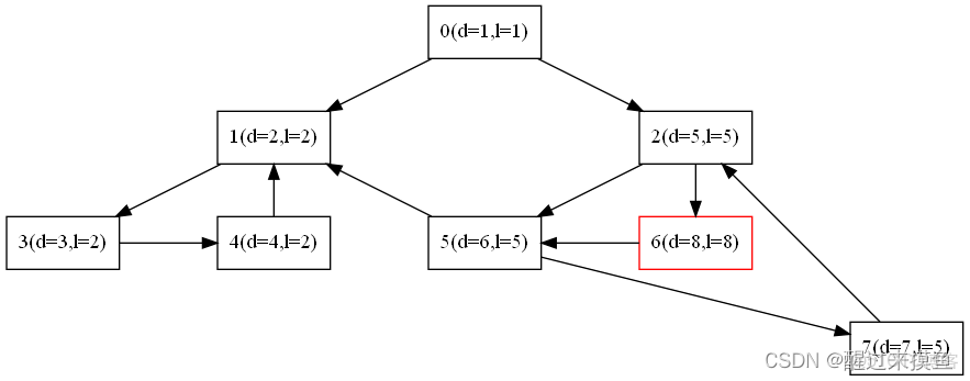
  再是5,需要注意的是5不會更新1的low值,因為1已經被完全處理完了,已經彈出了棧:

TV demura 算法_#算法_08


TV demura 算法_TV demura 算法_09

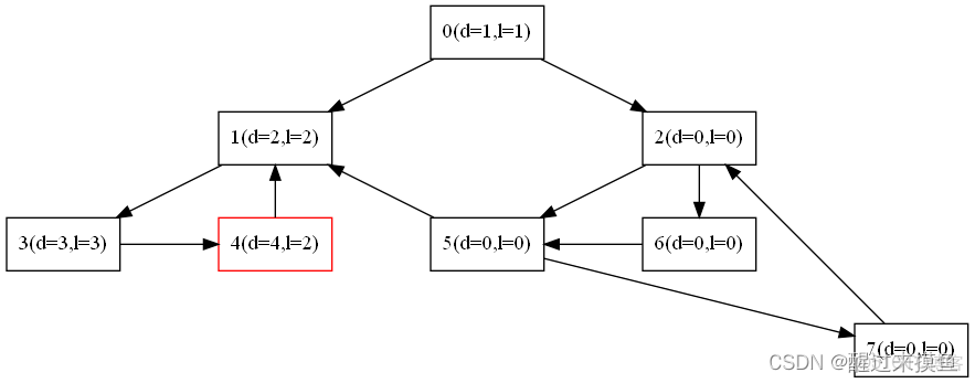
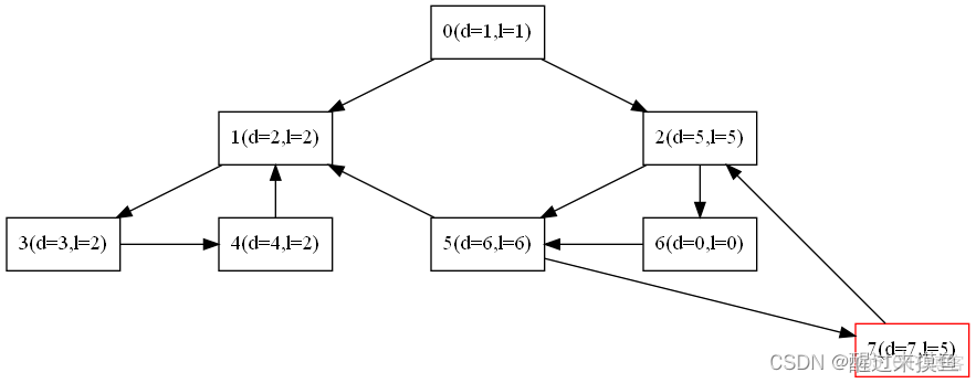
  最後是6:

TV demura 算法_Python_10


TV demura 算法_時間戳_11

Python實現

# _*_ coding:utf-8 _*_


class UnweightedGraph:

    def __init__(self, vertices, edges):
        self.__vertices = vertices
        self.__edges = edges
        self.time = 0
        n = len(self.__vertices)
        self.disc = [0] * n
        self.low = [0] * n
        self.__pos = None

    # 四種顏色
    UNVISITED = 0
    VISITED = 1
    FINISHED = 2
    POPPED = 3

    def trajan(self):
        n = len(self.__vertices)
        self.time = 0
        colors = [UnweightedGraph.UNVISITED] * n

        stack = []
        scc_list = []
        for root in range(n):
            self.dfs(root, colors, stack, scc_list)
        return scc_list

    def dfs(self, root, colors, stack, scc_list):
        if colors[root] != UnweightedGraph.UNVISITED:
            return self.low[root]
        colors[root] = UnweightedGraph.VISITED
        self.time += 1
        self.disc[root] = self.time
        self.low[root] = self.disc[root]
        stack.append(root)

        for neighbour in self.__edges[root]:
            if colors[neighbour] == UnweightedGraph.POPPED:
                continue
            low_num = self.dfs(neighbour, colors, stack, scc_list)
            if low_num < self.low[root]:
                self.low[root] = low_num

        colors[root] = UnweightedGraph.FINISHED
        if self.low[root] == self.disc[root]:
            scc_list.append(UnweightedGraph.get_scc(colors, stack, root))
        return self.low[root]

    @staticmethod
    def get_scc(colors, trajan_stack, v):
        scc = []
        while len(trajan_stack) > 0:
            x = trajan_stack.pop()
            scc.append(x)
            colors[x] = UnweightedGraph.POPPED
            if x == v:
                break
        return scc

    def to_dot(self):
        s = 'digraph s {\nlayout=fdp\nnode[shape=box]\n'
        for v in self.__vertices:
            s += f'"{self.__vertices[v]}"[label="{self.__vertices[v]}(d={self.disc[v]},l=[{self.low[v]}])";pos="{self.__pos[v]}"];\n'
        for i, e in enumerate(self.__edges):
            for t in e:
                s += f'\"{self.__vertices[i]}\"->"{self.__vertices[t]}";\n'
        s += '}\n'
        return s

    @property
    def vertices(self):
        return self.__vertices

    @vertices.setter
    def vertices(self, value):
        self.__vertices = value

    @property
    def edges(self):
        return self.__edges

    @edges.setter
    def edges(self, value):
        self.__edges = value

    @property
    def pos(self):
        return self.__pos

    @pos.setter
    def pos(self, value):
        self.__pos = value

測試代碼

import unittest
from com.youngthing.graph.trajan import UnweightedGraph


class MyTestCase(unittest.TestCase):
    def test_kosajaru(self):
        # 以這個圖為例子:
        vertex = ['A', 'B', 'C', 'D', 'E', 'F', 'G', 'H', 'I', 'J', 'K', 'L', 'M']
        edges = [
            [5],
            [0, 2, 6],
            [3, 6],
            [8],
            [3, 9],
            [1],
            [7, 10, 11],
            [3, 8, 11],
            [2, 12],
            [4, 8],
            [11],
            [12],
            [11],
        ]
        graph = UnweightedGraph(vertex, edges)
        scc_list = graph.trajan()
        for scc in scc_list:
            print([graph.vertices[x] for x in scc])
        print(graph.to_dot())

    def test_nyu_data(self):
        # 以這個圖為例子:
        vertex = [0, 1, 2, 3, 4, 5, 6, 7]
        edges = [
            [1, 2],
            [3],
            [5, 6],
            [4],  # 3
            [1],  # $
            [1, 7],  # 5
            [5],  # 6
            [2],  # 7
        ]
        graph = UnweightedGraph(vertex, edges)
        graph.pos = ["0,0!", "-2,-1!", "2,-1!", "-4,-2!", "-2,-2!", "0,-2!", "2,-2!", "4,-3!"]
        scc_list = graph.trajan()
        for scc in scc_list:
            print([graph.vertices[x] for x in scc])
        print(graph.to_dot())


if __name__ == '__main__':
    unittest.main()

  測試結果完全正確:

[4, 3, 1]
[6, 7, 5, 2]
[0]