一、初識反應式智能體

        前一篇我們詳細瞭解了深思熟慮智能體,今天我們討論智能體的另一種類型,反應式智能體,想象一下,當我們的手不小心觸碰到一個滾燙的杯子時,我們會瞬間縮回。這個過程中,我們的大腦甚至還沒有意識到燙這個概念,手已經完成了動作。這種不經過深思熟慮、直接由刺激引發的快速反應,就是反應式智能體的核心思想。

        反應式智能體是一種基於“感知-行動”模式的智能系統。它不依賴複雜的內部世界模型,不進行耗時的推理規劃,而是像生物的條件反射一樣,根據當前的環境輸入直接產生行為輸出。

構建AI智能體:五十二、反應式智能體:AI世界的條件反射,真的可以又快又穩_智能體

一個簡單的比喻:

  • 反應式智能體:好比蜜蜂採蜜,蜜蜂看到花朵就飛過去,遇到障礙就轉向,整個過程流暢自然
  • 深思熟慮智能體:好比棋手下棋,每走一步都需要深思熟慮,考慮各種可能性

        這種設計使得反應式智能體在需要快速響應的場景中表現出色,成為機器人學、自動駕駛、工業自動化等領域的基石技術,反應式智能體是一種基礎且強大的智能體範式,它摒棄了複雜的內部世界模型和前瞻性規劃,轉而強調對環境的即時、直接響應。這種“刺激-反應”模式,使其在動態、快速變化的環境中表現出極高的效率和魯棒性。

二、什麼是反應式智能體

        反應式智能體的設計源於對自然界(如昆蟲)高效行為的觀察,一隻蜜蜂不需要構建整個花園的認知地圖,它只需根據光線、花朵形狀和氣味等即時感官輸入,就能做出飛向花蜜的決定。

1. 核心概念

        反應式智能體是一種不依賴內部世界模型,也不進行復雜推理,其決策和行動直接由當前時刻的感知輸入所決定的智能系統。它

2. 基本工作模式

        反應式智能體的的工作模式可以概括為一個極其簡化的公式:感知 → 反應。它的工作流程可以概括為一個極其簡潔的循環:環境感知 → 條件匹配 → 動作執行 → 環境改變

        這個循環的關鍵在於沒有中間的思考環節,智能體不需要回答“我在哪裏?”“我要去哪裏?”這樣的哲學問題,它只需要知道“現在該做什麼”。

3. 條件-動作規則

        反應式智能體的大腦由一系列簡單的“如果-那麼”規則組成:

規則集 = [
    "如果(前方有障礙物) 那麼(向左轉)",
    "如果(電量低於20%) 那麼(返回充電)",
    "如果(檢測到目標) 那麼(向前移動)",
    "如果(無特殊情況) 那麼(隨機探索)"
]


        這些規則就像生物的神經反射弧,每個都負責處理特定的情境。當環境提供的感知輸入匹配某個規則的條件時,對應的動作就會被立即觸發。

4. 行為的涌現

        單個規則可能很簡單,但多個規則組合起來就能產生複雜的行為表現。這種現象被稱為“涌現”——整體行為大於部分之和。

        實例説明:一個掃地機器人只有三個簡單規則:

  • 遇到障礙就轉向
  • 檢測到灰塵就清掃
  • 默認情況下直線前進

        單獨看每個規則都很簡單,但組合起來後,機器人就能在房間裏自主移動、避開傢俱、清掃灰塵,表現出相當複雜的智能行為。這種從簡單規則中產生複雜行為的過程,正是反應式智能體的魅力所在。

5. 核心原則

  • 緊耦合的感知-行動循環:智能體的行動直接由當前的感知輸入觸發,中間沒有複雜的思考或規劃過程。
  • 無內部狀態模型:反應式智能體不維護關於世界歷史的內部模型,它的決策完全基於現在,這簡化了設計並避免了因模型不準確導致的錯誤。
  • 行為分解:複雜的行為不是通過一個龐大的程序實現的,而是通過一系列簡單的、並行的行為模式組合而成。
  • 涌現行為:智能體整體的、看似複雜的行為,是由多個簡單行為在環境交互中涌現出來的,而非預先編程的。

6. 反應式智能體的優勢

  • 速度快: 響應延遲極低,適用於需要快速反應的任務,如避障。
  • 魯棒性強: 由於不依賴可能出錯的內部模型,在部分傳感器失效時,剩餘的行為模式仍能保證基本功能。
  • 設計簡單: 模塊化設計,易於實現、測試和調試。

7. 反應式智能體的劣勢

  • 智能受限: 無法進行需要記憶和規劃的任務,如下棋、複雜決策。
  • 可能陷入局部循環: 例如,一個機器人可能會在兩個障礙物之間來回擺動。

8. 一個生活化的比喻:膝跳反射

        醫生用小錘敲擊你的膝蓋,你的小腿會不受控制地向前踢出。這個過程:

  • 感知:膝蓋肌腱被敲擊。
  • 處理:脊髓層面的神經迴路,無需大腦思考。
  • 行動:小腿踢出。

        這就是一個典型的反應式過程——快速、直接、不經過深思熟慮,反應式智能體正是將這種模式應用在了機器決策上。

三、反應式智能體的架構

1. 行為層次的概念

        當多個規則可能同時被激活時,如何決定執行哪個動作?機器人學家羅德尼·布魯克斯提出了包容架構來解決這個問題。

        包容架構的核心思想是:將智能體分解為多個行為層,每個層都是一個獨立的“感知-行動”模塊。這些層並行運行,但通過優先級機制進行協調。

2. 流程詳解

構建AI智能體:五十二、反應式智能體:AI世界的條件反射,真的可以又快又穩_最高優先級_02

流程説明:

  • 1. 感知階段
  • 環境傳感器輸入:通過攝像頭、雷達等傳感器收集環境數據
  • 感知數據處理:對原始數據進行清洗、分析和理解
  • 2. 決策階段
  • 行為條件檢查:將處理後的數據與預設的行為條件進行匹配
  • 行為激活:滿足條件的行為被激活,生成對應動作
  • 行為仲裁:當多個行為衝突時,選擇最高優先級的動作執行
  • 3. 執行階段
  • 最終動作輸出:執行選定的動作
  • 環境影響:動作改變環境,引發新的傳感器輸入

流程總結:

  • 循環往復:整個過程形成一個連續的"感知-行動"循環
  • 實時響應:不進行復雜思考,直接根據當前環境做出反應
  • 並行處理:多個行為條件同時檢查,提高響應速度

3. 關鍵組件

  • 感知模塊: 從傳感器(如攝像頭、激光雷達、觸鬚)讀取原始數據,並進行必要的預處理(如過濾噪聲、識別特定特徵)。
  • 行為集合: 一系列簡單的“如果-那麼”規則或函數。
  • “如果”部分: 感知條件的布爾組合。
  • “那麼”部分: 要執行的動作或向量。
  • 例如:如果 (前方有障礙物) 那麼 (向左轉)
  • 仲裁機制: 當多個行為同時被激活時,仲裁機制決定哪個行為擁有控制權。常見策略包括:
  • 固定優先級: 某些行為(如“避障”)永遠比“探索”行為優先級高。
  • 抑制結構: 高優先級行為可以抑制低優先級行為的輸出。
  • 向量求和: 將所有行為輸出的動作向量(如速度、轉向角)相加,得到最終動作。

在包容架構中,行為層被組織成不同的優先級:

  • 高優先級:避障行為    ← 生命安全最重要
  • 中優先級:任務行為    ← 完成主要任務  
  • 低優先級:探索行為    ← 默認行為

仲裁原則:高優先級行為可以抑制低優先級行為。就像在人類行為中,躲避危險的本能會壓制其他所有想法。

4. 實際應用場景

考慮一個自動駕駛汽車的反應式系統:

行為層 = {
    # 最高優先級:安全相關
    "緊急制動": {"條件": "碰撞 imminent", "動作": "全力剎車"},
    
    # 高優先級:避障
    "主動避障": {"條件": "前方有障礙", "動作": "轉向避讓"},
    
    # 中優先級:導航
    "車道保持": {"條件": "偏離車道", "動作": "微調方向"},
    
    # 低優先級:舒適性
    "平穩駕駛": {"條件": "道路彎曲", "動作": "平滑轉向"}
}


        當多個條件同時滿足時,只有最高優先級的動作會被執行,這種設計確保了系統在任何情況下都能做出最安全的選擇。

四、反應式智能體的構建 - 包容架構

        如何將多個簡單的“條件-動作”規則組合起來,形成複雜的行為?機器人學家羅德尼·布魯克斯提出了經典的 “包容架構”。

1. 核心思想

        包容架構將智能體分解為多個行為層,每個層都是一個簡單的“條件-動作”模塊。這些層並行運行,但通過 “抑制” 與 “抑制” 機制進行協調。

  • 抑制:高優先級行為可以覆蓋低優先級行為的輸出信號。
  • 抑制:高優先級行為可以阻斷低優先級行為接收輸入信號。

2. 一個機器人的行為層設計

假設我們要構建一個室內清掃機器人:

  • 層一(最低優先級):充電行為
  • 條件:電量 < 10%。
  • 動作:向充電樁移動。
  • 層二(中優先級):清掃行為
  • 條件:檢測到灰塵。
  • 動作:啓動刷子並前進。
  • 層三(最高優先級):避障行為
  • 條件:前方近距離檢測到障礙物。
  • 動作:停止,轉向。

        仲裁過程:當機器人正在清掃時(層二激活),如果突然前方出現障礙物,避障行為(層三)會立即抑制清掃行為(層二)的輸出,讓機器人先轉向。避開障礙物後,避障行為條件不再滿足,清掃行為重新取得控制權,這保證了機器人的安全。

3. 包容架構流程圖

構建AI智能體:五十二、反應式智能體:AI世界的條件反射,真的可以又快又穩_高優先級_03

工作過程:

  • 傳感器輸入同時傳遞給所有行為層
  • 各層獨立判斷是否滿足執行條件
  • 抑制機制生效:
  • 需要避障時,避障層抑制清掃和充電
  • 需要清掃時,清掃層只抑制充電
  • 都不需要時,執行充電層
  • 動作仲裁選擇最終要執行的動作

核心機制:

  • 三層並行處理:避障、清掃、充電三個行為層同時接收傳感器輸入
  • 優先級抑制:高優先級行為可以抑制低優先級行為
  • 行為仲裁:最終只有一個動作被輸出執行

4. 完整構建步驟

  • 1. 定義任務和目標: 明確智能體需要完成什麼。例如:“在房間裏漫遊而不撞到任何東西”。
  • 2. 識別相關情境: 列出智能體在執行任務時可能遇到的所有關鍵場景。例如:“前方有障礙物”、“左側有障礙物”、“右側空曠”、“發現目標”。
  • 3. 設計行為模式: 為每個情境設計一個簡單的、直接的行為。
  • 避障行為: 如果前方近處有障礙,則後退並轉向。
  • 沿牆行為: 如果左側有障礙物且距離適中,則保持平行前進。
  • 漫遊行為: 如果沒有特定輸入,則隨機或直線前進。
  • 4. 設定行為優先級: 確定行為的輕重緩急。通常,生存相關(如避障)的行為優先級最高。
  • 5. 實現仲裁機制: 編寫代碼將行為組合起來,確保在任何時刻,最高優先級的有效行為主導智能體的行動。
  • 6. 迭代測試與調優: 在模擬或真實環境中反覆測試,調整行為的參數(如探測距離、轉向速度),以優化性能。

五、示例:最簡單的清潔機器人

這是一個簡單的掃地機器人智能控制系統,完美展示了反應式設計。

  • 感知: 當前位置的傳感器(髒 或 乾淨)。
  • 行為:
  • 清潔行為: 如果 (當前位置是髒的) 那麼 (吸塵)
  • 移動行為: 如果 (當前位置是乾淨的) 那麼 (隨機移動到一個相鄰格子)
  • 仲裁: “清潔行為”的優先級高於“移動行為”。
  • 分析: 機器人沒有地圖,不知道哪些地方清潔過。它的行為完全基於當前的局部感知,但長期來看,它最終能清潔整個區域。

在代碼運行後體現幾大功能點:

  • 機器人自主導航:在沒有地圖的情況下避開所有障礙物
  • 智能行為切換:根據環境自動在避障、沿牆、探索間切換
  • 實時決策顯示:動態顯示當前行為和傳感器狀態
  • 軌跡分析:通過顏色可以看到不同行為對應的運動模式

1. 代碼重點部分

1.1 傳感器模擬原理

def get_sensor_readings(self, obstacles):
    readings = []
    for sensor_angle in self.sensor_angles:
        sensor_dir = np.array([
            np.cos(self.angle + sensor_angle),  # 傳感器方向向量x分量
            np.sin(self.angle + sensor_angle)   # 傳感器方向向量y分量
        ])
        
        min_distance = self.sensor_range  # 初始化為最大探測距離
        
        for obstacle in obstacles:
            # 計算機器人到障礙物的向量
            obstacle_pos = np.array([obstacle[0], obstacle[1]])
            robot_pos = np.array([self.x, self.y])
            to_obstacle = obstacle_pos - robot_pos
            
            # 向量投影:判斷障礙物是否在傳感器前方
            projection = np.dot(to_obstacle, sensor_dir)
            
            if projection > 0:  # 障礙物在傳感器前方
                # 計算障礙物到傳感器射線的垂直距離
                distance_to_ray = np.linalg.norm(to_obstacle - projection * sensor_dir)
                
                if distance_to_ray < obstacle[2]:  # 如果距離小於障礙物半徑
                    # 計算實際的碰撞距離
                    hit_distance = projection - np.sqrt(obstacle[2]**2 - distance_to_ray**2)
                    if 0 < hit_distance < min_distance:
                        min_distance = hit_distance
            
            readings.append(min_distance)
    return readings


  • sensor_dir:計算每個傳感器的方向向量
  • projection > 0:確保只檢測前方的障礙物
  • distance_to_ray < obstacle[2]:判斷是否與障礙物相交
  • 返回5個傳感器的距離讀數列表

1.2 反應式決策核心

def reactive_control(self, sensor_readings):
    # 傳感器分組:左2個、前1個、右2個
    left_readings = sensor_readings[:2]    # 左側傳感器
    front_readings = sensor_readings[2]    # 前方傳感器  
    right_readings = sensor_readings[3:]   # 右側傳感器
    
    # 計算各方向的最小距離
    min_front = min(front_readings, self.sensor_range)
    min_left = min(left_readings)
    min_right = min(right_readings)
    
    # 行為1: 緊急避障 (最高優先級)
    if min_front < 0.8:  # 前方很近有障礙
        self.speed = 0.3  # 減速
        # 選擇更空曠的一側轉向
        if min_left > min_right:
            self.angle -= np.pi/4  # 向右轉45度
        else:
            self.angle += np.pi/4  # 向左轉45度
        self.current_behavior = "緊急避障"
        return self.current_behavior
    
    # 行為2: 預防性避障 (中優先級)
    elif min_front < 1.5:  # 前方較近有障礙
        self.speed = 0.4
        if min_left > min_right:
            self.angle -= np.pi/8  # 向右轉22.5度
        else:
            self.angle += np.pi/8  # 向左轉22.5度
        self.current_behavior = "預防避障"
        return self.current_behavior
    
    # 行為3: 沿牆跟隨 (低優先級)
    elif min_left < 1.2 or min_right < 1.2:  # 側面有牆
        self.speed = 0.6
        if min_left < min_right:  # 左側有牆
            self.angle -= 0.1  # 向右微調
        else:  # 右側有牆  
            self.angle += 0.1  # 向左微調
        self.current_behavior = "沿牆跟隨"
        return self.current_behavior
    
    # 行為4: 隨機探索 (默認行為)
    else:
        self.speed = 0.8  # 正常速度
        # 加入隨機擾動,避免陷入局部循環
        self.angle += random.uniform(-0.2, 0.2)
        self.current_behavior = "隨機探索"
        return self.current_behavior


  • 固定優先級:緊急避障 > 預防避障 > 沿牆跟隨 > 隨機探索
  • 距離閾值:不同距離觸發不同行為
  • 轉向策略:總是轉向更空曠的一側
  • 速度調節:危險時減速,安全時加速

1.3 位置更新邏輯

def update_position(self, obstacles, area_bounds):
    # 1. 感知:獲取傳感器數據
    sensor_readings = self.get_sensor_readings(obstacles)
    
    # 2. 決策:反應式控制
    behavior = self.reactive_control(sensor_readings)
    
    # 3. 行動:更新位置
    dx = self.speed * np.cos(self.angle) * 0.1  # x方向位移
    dy = self.speed * np.sin(self.angle) * 0.1  # y方向位移
    
    new_x = self.x + dx
    new_y = self.y + dy
    
    # 邊界檢查:防止跑出環境
    if (area_bounds[0] < new_x < area_bounds[2] and 
        area_bounds[1] < new_y < area_bounds[3]):
        self.x = new_x
        self.y = new_y
    
    # 記錄軌跡(最多100個點)
    self.trajectory.append((self.x, self.y))
    if len(self.trajectory) > 100:
        self.trajectory.pop(0)  # 移除最舊的點
        
    return behavior, sensor_readings


1.4 環境創建與障礙物設置

def create_environment():
    # 障礙物格式:(x座標, y座標, 半徑)
    obstacles = [
        (3, 2, 0.8),  # 中心區域的大障礙物
        (6, 4, 1.0),  # 右側的大障礙物  
        (8, 2, 0.6),  # 右上角的小障礙物
        (4, 6, 0.7),  # 中部偏上的障礙物
        (7, 7, 0.9),  # 右上角的大障礙物
        (2, 8, 0.5),  # 左上角的小障礙物
        (9, 9, 0.6),  # 最右上角的障礙物
        (5, 3, 0.4)   # 中心區域的小障礙物
    ]
    
    # 環境邊界:(x_min, y_min, x_max, y_max)
    area_bounds = (0, 0, 10, 10)
    
    return obstacles, area_bounds


  • 複雜路徑:障礙物分佈形成曲折的通道
  • 大小混合:不同大小的障礙物增加導航難度
  • 邊界限制:10x10的封閉環境

1.5 動態動畫的核心邏輯

def animate(frame):
    ax.clear()
    
    # 更新機器人位置(第一幀除外)
    if frame > 0:
        behavior, sensor_readings = robot.update_position(obstacles, area_bounds)
    
    # 繪製傳感器(顏色編碼)
    for i, (sensor_angle, reading) in enumerate(zip(robot.sensor_angles, sensor_readings)):
        sensor_dir = np.array([np.cos(robot.angle + sensor_angle), 
                              np.sin(robot.angle + sensor_angle)])
        sensor_length = min(reading, robot.sensor_range)
        
        end_x = robot.x + sensor_length * sensor_dir[0]
        end_y = robot.y + sensor_length * sensor_dir[1]
        
        # 顏色編碼:綠色(安全) → 橙色(警告) → 紅色(危險)
        if reading > 1.5:
            color = 'green'   # 安全距離
        elif reading > 0.8:
            color = 'orange'  # 警告距離  
        else:
            color = 'red'     # 危險距離
            
        ax.plot([robot.x, end_x], [robot.y, end_y], color=color, 
               linewidth=2, alpha=0.7)


  • 實時更新:每幀重新繪製所有元素
  • 顏色編碼:用顏色直觀顯示傳感器狀態
  • 軌跡顯示:保留歷史軌跡顯示運動路徑

1.6 反應式智能體的核心特徵

特徵1:無內部狀態模型

# 機器人沒有記憶環境地圖,只依賴當前傳感器數據
def reactive_control(self, sensor_readings):  # 只使用當前傳感器讀數
    # 不訪問歷史數據,不維護環境模型
    # 決策完全基於當前的sensor_readings


特徵2:固定優先級仲裁

# 明確的優先級順序
if min_front < 0.8:        # 1. 緊急避障 (最高)
elif min_front < 1.5:      # 2. 預防避障  
elif min_left < 1.2 or ... # 3. 沿牆跟隨
else:                      # 4. 隨機探索 (最低)


特徵3:實時響應

# 每幀都重新感知和決策
def update_position(self, obstacles, area_bounds):
    sensor_readings = self.get_sensor_readings(obstacles)  # 實時感知
    behavior = self.reactive_control(sensor_readings)      # 實時決策
    # 立即執行動作


特徵4:行為涌現

# 簡單規則組合產生複雜行為
# 單個規則很簡單,但組合後能:
# - 自主避開所有障礙物
# - 沿着牆壁行走  
# - 探索未知區域
# - 不會陷入死循環


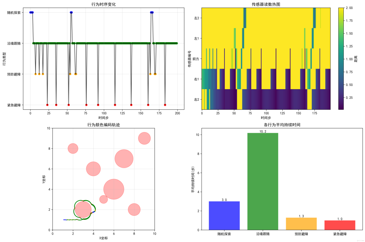
2. 輸出結果

反應式機器人的動態路徑:

構建AI智能體:五十二、反應式智能體:AI世界的條件反射,真的可以又快又穩_優先級_04

反應式機器人的靜態軌跡圖:

構建AI智能體:五十二、反應式智能體:AI世界的條件反射,真的可以又快又穩_優先級_05

反應式機器人的傳感器工作原理:

構建AI智能體:五十二、反應式智能體:AI世界的條件反射,真的可以又快又穩_智能體_06

反應式機器人的智能體對比:

構建AI智能體:五十二、反應式智能體:AI世界的條件反射,真的可以又快又穩_最高優先級_07

反應式機器人的行為分析:

構建AI智能體:五十二、反應式智能體:AI世界的條件反射,真的可以又快又穩_高優先級_08

六、總結

        反應式智能體以其簡單、快速、可靠的核心優勢,在AI領域佔據了不可替代的一席之地。它完美地詮釋了“簡單規則產生複雜行為”的涌現智慧。

  • 它的主要優勢在於:響應延遲極低、對傳感器錯誤不敏感、開發和調試相對簡單。
  • 它的主要侷限在於:缺乏長遠規劃能力,在需要深思熟慮的任務中顯得愚蠢。

        反應式智能體代表的是一種工程哲學:用簡單、可靠、可驗證的組件構建複雜的智能系統。它提醒我們,有時候最有效的解決方案不一定是最複雜的。

        就像自然界中的螞蟻,每個個體都遵循簡單的規則,但整個蟻羣卻展現出令人驚歎的集體智慧。反應式智能體教會我們:智能不一定源於複雜的計算,也可以來自簡單規則與環境之間的巧妙互動。

        在追求更復雜AI技術的今天,理解反應式智能體的原理和價值,不僅有助於我們構建更可靠的實時系統,也為我們理解智能的本質提供了重要的視角。有時候,後退一步,採用更簡單的方法,反而能夠走得更遠。